@laiatorrell_25

22 Publicaciones

25 Interacciones

0 Seguidores

0 Siguiendo

Lista de publicaciones de laiatorrell_25

Apunts Historia de la medicina

1 página

ejercicios

-

Seminaris EFC

Alguns seminaris estan amb els apunts, la resta estan aquí

Seminari-1.pdf
Seminar-EFC-2.pdf
EFC2526S3-1casosaigua.pdf
EFC2526S3-2Diarreainfantil.pdf
EFC2425S4marisc.pdf
EFC2526S5Eaton-Lambert.pdf

practicas

-

PRÀCTIQUES EFC

Pràctiques EFC primer de medicina (cursat 2025-2026)

Practica-1-Microscopia.pdf
Practica-2-i-3-Rata-Osmosi-i-Preparacio-de-Mostres.pdf
Practica-4.pdf

ejercicios

-

Seminaris Bioestadística

He publicado nuevos ejercicios de 1º Bioestadística: Seminaris Bioestadística

Ensayo-clinico-dieta.pdf
Seminari-1.pdf
Seminari-2.pdf
Seminari-3.pdf
Seminari-4-5.pdf
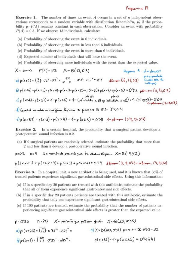
Seminari-6-7.pdf

apuntes

-

Bioestadística

Bioestadística apunts primer de medicina (fets a l'any 2025-2026)

Apunts-BE-T1.pdf
Apunts-BE-a-partir-del-T2.pdf