@laraalp

30 Publicaciones

1.01k Interacciones

3 Seguidores

0 Siguiendo

Lista de publicaciones de laraalp

He publicado nuevos apuntes de 2º Principios Jurídicos Básicos: Deontología Profesional e Igualdad: DERECHO .pdf

47 páginas

apuntes

-

Exámenes

He publicado nuevos apuntes de 2º Ingeniería Eléctrica y Electrónica: Exámenes

problemas_resueltos_examen20170405_ac.pdf
problemas_resueltos_examen20170405_dc.pdf
problemas_resueltos_examen20170405_tr.pdf
problemas_resueltos_examen20170616_1p_ac.pdf
problemas_resueltos_examen20170616_1p_tr.pdf
problemas_resueltos_examen20170616_1pr.pdf

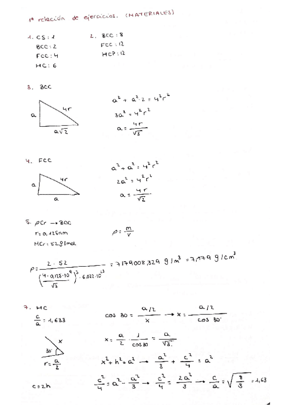
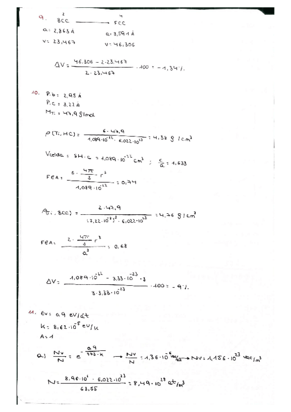
He publicado nuevos apuntes de 2º Ciencia e Ingeniería de Materiales: Ejercicios resueltos_2-converted.pdf

15 páginas

He publicado nuevos apuntes de 2º Ciencia e Ingeniería de Materiales: ilovepdf_jpg_to_pdf (2).pdf

4 páginas

He publicado nuevos apuntes de 2º Ciencia e Ingeniería de Materiales: ilovepdf_jpg_to_pdf.pdf

2 páginas

He publicado nuevos apuntes de 2º Ciencia e Ingeniería de Materiales: ilovepdf_jpg_to_pdf (1).pdf

2 páginas

He publicado nuevos apuntes de 2º Ciencia e Ingeniería de Materiales: Tema 4 Materiales_2-converted.pdf

4 páginas

He publicado nuevos apuntes de 1º El lenguaje en la empresa: DEFINITIVO.pdf

13 páginas