@LaraTrilles

181 Publicaciones

17.34k Interacciones

23 Seguidores

0 Siguiendo

Lista de publicaciones de LaraTrilles

He publicado nuevos examenes de 4º Inglés B2-B: Apuntes.pdf

28 páginas

He publicado nuevos apuntes de 4º Tecnología de la Construcción: ACCIONES-22-23-Todas-posibilid..pdf

8 páginas

He publicado nuevos examenes de 4º Tecnología de la Construcción: Test-2P-2022-2023-Explicados.pdf

4 páginas

He publicado nuevos examenes de 4º Tecnología de la Construcción: Test-1P-20222023-Explicado.pdf

4 páginas

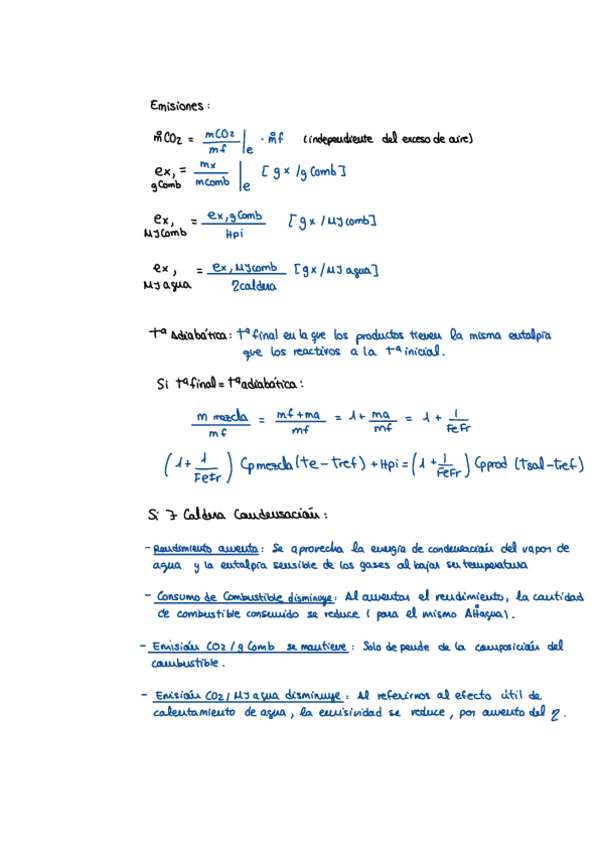
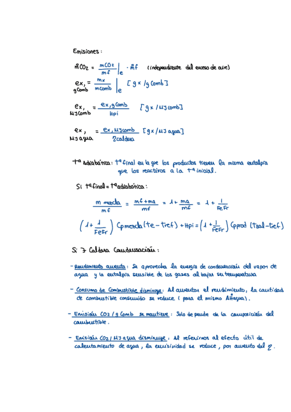
He publicado nuevos apuntes de 4º Tecnología Energética: FORMULARIO-2P.pdf

7 páginas

He publicado nuevos examenes de 4º Tecnología Eléctrica: 2021-2022-2o-Parcial.pdf

9 páginas

examenes

-

Tests Por Temas 2o Parcial

He publicado nuevos examenes de 4º Proyectos: Tests Por Temas 2o Parcial

Test-Tema-10.pdf
Test-Tema-9.pdf
Test-Tema-12.pdf
Test-tema-8.1.pdf
Test-Tema-15.pdf
Test-Tema-14.pdf

He publicado nuevos examenes de 4º Máquinas Hidráulicas: Recopilacion-Completa-TEST.pdf

51 páginas

examenes

-

Ciclo Combinado Exámenes Explicados

He publicado nuevos examenes de 4º Tecnología Energética: Ciclo Combinado Exámenes Explicados

Parcial-2021-2022-CicloComb.pdf
Parcial-2020-2021-CicloComb.pdf
Parcial-2019-2020-CicloComb.pdf

examenes

-

2º Parcial (Acabados, ajustes tolerancias)

He publicado nuevos examenes de 4º Ingeniería Gráfica: 2º Parcial (Acabados, ajustes tolerancias)

Parcial-2020-2021-Acabados-ajustes-tolerancias.pdf
Parcial-2021-2022-Acabados-ajustes-tolerancias.pdf

examenes

-

Combustion Exámenes Explicados

He publicado nuevos examenes de 4º Tecnología Energética: Combustion Exámenes Explicados

Parcial-2019-2020-Comb.pdf
Parcial-2020-2021-Comb.pdf
Parcial-2021-2022-Comb.pdf
Parcial-2018-2019-Comb.pdf

He publicado nuevos practicas de 4º Tecnología de la Construcción: Ejercicio-3-Pilar.pdf

5 páginas

examenes

-

Test por temas 2º Parcial

Recopilacion

Test-Tema-9-Centros-de-Transformacion.pdf
Test-Tema-7-Alumbrado.pdf
Test-Tema-8-Compensacion-E.-Reactiva.pdf
Test-Tema-6-Proteccion-SI-y-ST.pdf
Test-Tema-5-Canalizaciones.pdf

examenes

-

Test por temas 2P

He publicado nuevos examenes de 4º Ingeniería Gráfica: Test por temas 2P

Test-Tolerancias-Dimensionales.pdf
Test-Tolerancias-Geometricas.pdf
Test-Instalaciones.pdf
Test-Engranajes.pdf
Test-Elementos-de-transmision-de-potencia.pdf
Test-Acabado-superficial.pdf

examenes

-

Test por Temas

He publicado nuevos examenes de 4º Tecnología Energética: Test por Temas

Test-Tema-1B.pdf
Test-Tema-1A.pdf
Test-Tema-2A.pdf
Test-Tema-3.pdf
Test-Tema-2B.pdf