@LaTukiLoko_

59 Publicaciones

2.39k Interacciones

12 Seguidores

3 Siguiendo

Lista de publicaciones de LaTukiLoko_

He publicado nuevos practicas de 4º Teoría de la información y la codificación: Practica-8-GUAVA.pdf

2 páginas

He publicado nuevos practicas de 4º Teoría de la información y la codificación: PRACTICA-4-Huffman.pdf

pdf

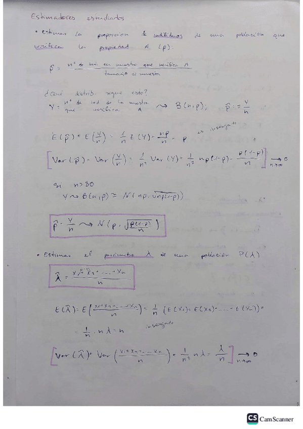
He publicado nuevos apuntes de 1º Metodos Estadisticos para la Computacion: Tema-6-Inferencia-Estadistica.pdf

14 páginas

He publicado nuevos apuntes de 1º ESTRUCTURAS ALGEBRÁICAS PARA LA COMPUTACIÓN: Tema-8-Reticulos-y-Algebra-de-Boole.pdf

11 páginas

He publicado nuevos ejercicios de 1º ESTRUCTURAS ALGEBRÁICAS PARA LA COMPUTACIÓN: Relacion-8-Reticulos-Resuelta.pdf

12 páginas

He publicado nuevos ejercicios de 1º ESTRUCTURAS ALGEBRÁICAS PARA LA COMPUTACIÓN: Relacion-7-Cardinalidad-Resuelta.pdf

9 páginas

He publicado nuevos apuntes de 1º ESTRUCTURAS ALGEBRÁICAS PARA LA COMPUTACIÓN: Tema-7-Cardinalidad.pdf

9 páginas

He publicado nuevos ejercicios de 1º Metodos Estadisticos para la Computacion: Relacion-5B-Resuelta.pdf

14 páginas

He publicado nuevos ejercicios de 1º Metodos Estadisticos para la Computacion: Relacion-5A-Resuelta.pdf

10 páginas

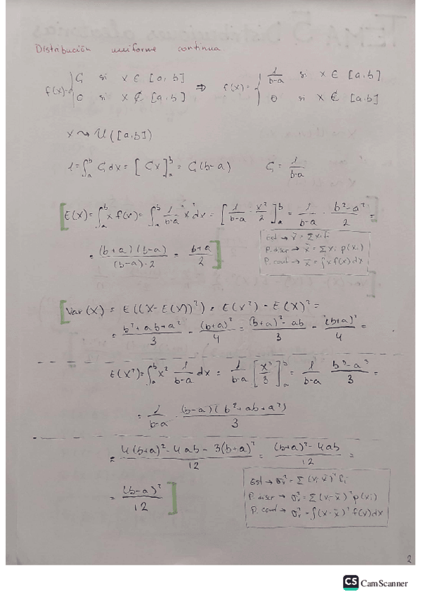
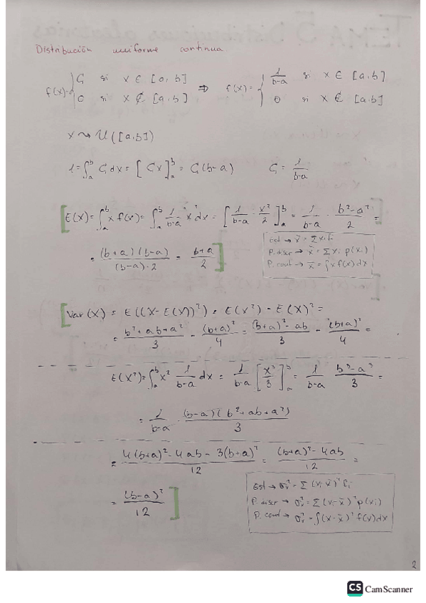
He publicado nuevos apuntes de 1º Metodos Estadisticos para la Computacion: Tema-5B-Distribuciones-Aleatorias.pdf

12 páginas

He publicado nuevos ejercicios de 1º ESTRUCTURAS ALGEBRÁICAS PARA LA COMPUTACIÓN: Relacion-6-Espacios-Euclideos-Resuelta.pdf

13 páginas

He publicado nuevos ejercicios de 1º ESTRUCTURAS ALGEBRÁICAS PARA LA COMPUTACIÓN: Relacion-5-Diagonalizacion-Resuelta.pdf

28 páginas

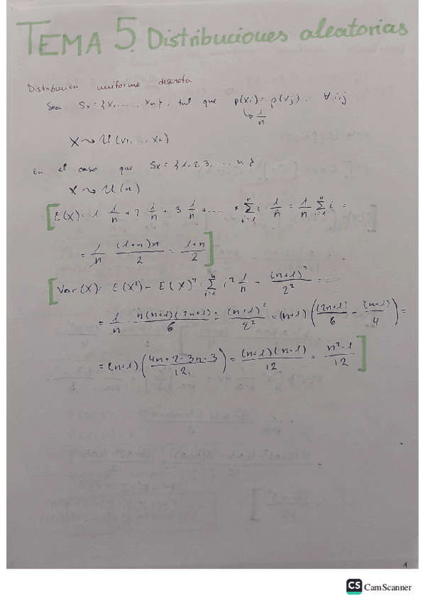
He publicado nuevos apuntes de 1º Metodos Estadisticos para la Computacion: Tema-5A-Variables-aleatorias.pdf

10 páginas

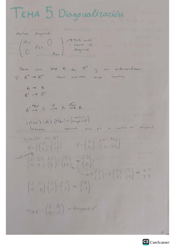
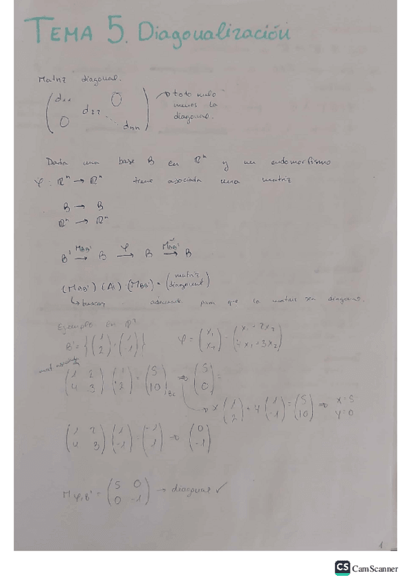
He publicado nuevos apuntes de 1º ESTRUCTURAS ALGEBRÁICAS PARA LA COMPUTACIÓN: Tema-5-Diagonalizacion.pdf

11 páginas

practicas

-

Práctica 4_1

He publicado nuevos practicas de 1º Programación Orientada a Objetos: Práctica 4_1

Ejercicio-1.pdf
Ejercicio-2.pdf

He publicado nuevos ejercicios de 1º Metodos Estadisticos para la Computacion: Ejercicios-Probabilidad.pdf

8 páginas

practicas

-

Práctica 3_1

He publicado nuevos practicas de 1º Programación Orientada a Objetos: Práctica 3_1

Practica-31-Ej1.pdf
Practica-31-Ej2.pdf

He publicado nuevos apuntes de 1º Tecnología de Computadores: Tema-2-Representacion-de-la-Informacion.pdf

7 páginas

He publicado nuevos ejercicios de 1º ESTRUCTURAS ALGEBRÁICAS PARA LA COMPUTACIÓN: Relacion-4-Resuelta.pdf

18 páginas

He publicado nuevos ejercicios de 1º Metodos Estadisticos para la Computacion: Relacion-4-Resuelta-Y-Ejercicios-Recuento.pdf

11 páginas