@Lauraa_awlv

12 Publicaciones

333 Interacciones

1 Seguidores

0 Siguiendo

Lista de publicaciones de Lauraa_awlv

He publicado nuevos apuntes de 2º Contabilidad Financiera I: examen-8-mayo-2015-preguntas.pdf

10 páginas

apuntes

-

TEMAS COMPLETOS INFORMÁTICA ADE URJC

He publicado nuevos apuntes de 1º Informática Aplicada a la Empresa: TEMAS COMPLETOS INFORMÁTICA ADE URJC

B2-TEMA2CREACIONYEDICIONDEDATOSSJM.pdf
B2-TEMA1APLICACIONESENHOJASDECALCULOSJM.pdf
B2-TEMA5TRABAJOENEQUIPOSJM.pdf
B2-TEMA3ORGANIZACIONYPRESENTACIONDELAINFORMACIONSJM.pdf
B2-TEMA4GESTIONYPLANIFCACIONENLAEMPRESASJM.pdf

apuntes

-

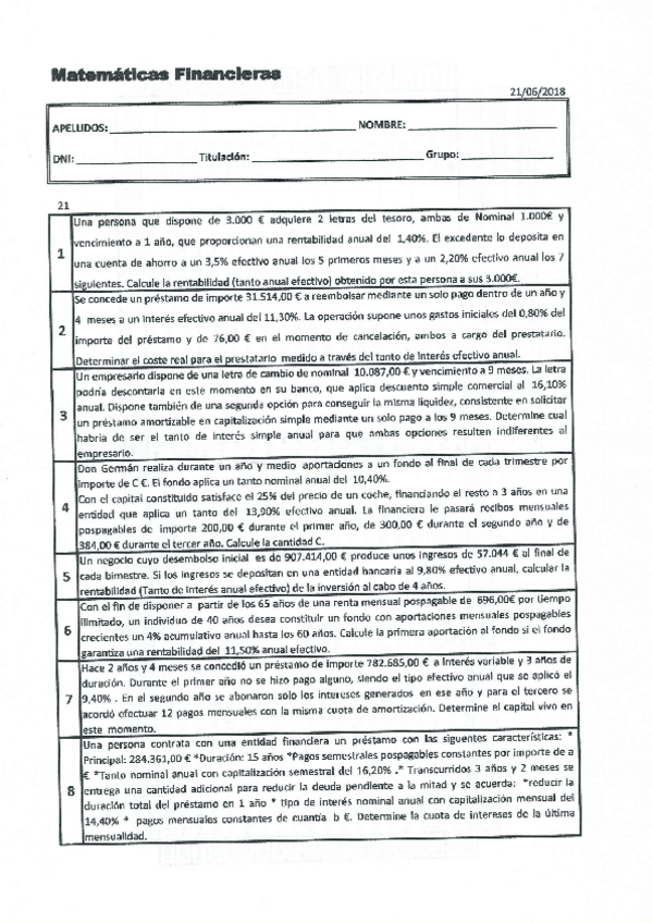
EXAMENES MATES FINANCIERAS

He publicado nuevos apuntes de 1º Matemáticas Financieras: EXAMENES MATES FINANCIERAS

SolExMFinADEC2462019.pdf
SolExFinECO21-06-2018.pdf
SexMFinGContyFin15-01-2018.pdf
SExMFinGContyFin18-06-2018.pdf
SexMFinGEco15-01-2018.pdf
SExMFinADEC14-05-2019.pdf