@lauraharo

Bio: Estudiant de Enginyeria Informàtica a la Universitat de Lleida

35 Publicaciones

655 Interacciones

2 Seguidores

0 Siguiendo

Lista de publicaciones de lauraharo

practicas

-

Organització Empresarial Pràctiques

He publicado nuevos practicas de 1º Organització Empresarial: Organització Empresarial Pràctiques

Practica3DAFO.pdf
Practica5Analisidemercats.pdf

apuntes

-

Optimització Resums

He publicado nuevos apuntes de 1º Estadística i Optimització: Optimització Resums

OptimitzacioTema4Resum.pdf
OptimitzacioTema1Resum.pdf
OptimitzacioTema3Resum.pdf
OptimitzacioTema3.pdf
OptimitzacioTema5Resum.pdf
OptimitzacioTema6Resum.pdf

apuntes

-

Estadística Resums

He publicado nuevos apuntes de 1º Estadística i Optimització: Estadística Resums

EstadisticaTema3Resum.pdf
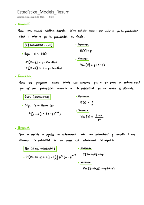
EstadisticaModelsResum.pdf
EstadisticaTema1Resum.pdf
EstadisticaTema2Resum.pdf
EstadisticaRegressioResum.pdf

apuntes

-

Organització Empresarial Resums

He publicado nuevos apuntes de 1º Organització Empresarial: Organització Empresarial Resums

EmpresaT3Formules.pdf
EmpresaT4Formules.pdf

practicas

-

Programació 2 pràctiques

He publicado nuevos practicas de 1º Programació II: Programació 2 pràctiques

Practica1PolinomisLauraHaroEscoi.pdf
Practica2ReversiLauraHaroEscoi.pdf
informeP3LauraHaroEscoi.pdf

practicas

-

Lògica Computacional Pràctiques

He publicado nuevos practicas de 1º Lógica Computacional: Lògica Computacional Pràctiques

LOGICAPROPOSICIONALPRACTICA1LAURAHAROESCOI.pdf
LOGICAPROPOSICIONALPRACTICA2LAURAHAROESCOI.pdf

He publicado nuevos apuntes de 1º Física: ApuntsfisicaT3.pdf

4 páginas

practicas

-

Física Pràctiques

He publicado nuevos practicas de 1º Física: Física Pràctiques

practicafisica.xlsx
FisicaPracticaRLCLauraHaroEscoi.pdf

ejercicios

-

Física Exercicis

He publicado nuevos ejercicios de 1º Física: Física Exercicis

FisicaTema5Exercicis.pdf
FisicaExercicisVariatsResolts.pdf

examenes

-

Física Exàmens

He publicado nuevos examenes de 1º Física: Física Exàmens

FisicaP22017-18Resolt.pdf
FisicaP22018-19Resolt.pdf
FisicaP22019-20Resolt.pdf

practicas

-

Estructura de Computadors 1 Pràctiques

He publicado nuevos practicas de 1º Estructura de Computadors I: Estructura de Computadors 1 Pràctiques

EC1estudiprevi2LauraHaroEscoi.pdf
EC1estudiprevi1LauraHaroEscoi.pdf

examenes

-

Estructura de Computadors 1 Exàmens

He publicado nuevos examenes de 1º Estructura de Computadors I: Estructura de Computadors 1 Exàmens

EC1P22017-18Resolt.pdf
EC1P22014-15Resolt.pdf

apuntes

-

Àlgebra Resums

He publicado nuevos apuntes de 1º Álgebra: Àlgebra Resums

AlgebraResumEstructuresAlgebraiques.pdf
AlgebraResumEntersCongruenciesEqDiofantiques.pdf