@lauralobs

Bio: Estudiante de física en la UAM. Subo mis apuntes de clase y ejercicios corregidos :)

134 Publicaciones

3.17k Interacciones

6 Seguidores

1 Siguiendo

Lista de publicaciones de lauralobs

ejercicios

-

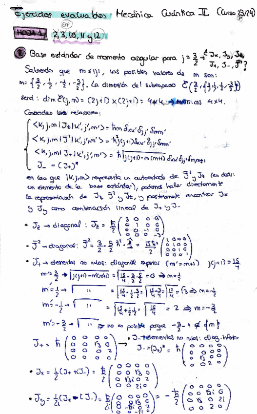
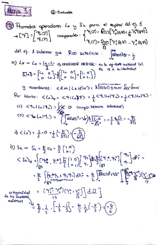
Ejercicios 23-24

Los ejs propuestos para evalucion continua se suben todos juntos en un documento aparte

Hoja-4-McII.pdf
Hoja-3-McII.pdf
Hoja-2-McII.pdf
Ejs-evuacion-continua.pdf

ejercicios

-

Ejercicios resueltos 23-24

He publicado nuevos ejercicios de 3º Mecánica Cuántica I: Ejercicios resueltos 23-24

H1-radiacion-incertidumbre.pdf
H2-funciones-de-onda.pdf
H3-pozos-y-barreras-de-potencial.pdf
H4-Sistemas-cuanticos.pdf
H5-Oscilador-Armonico-Cuantico.pdf

examenes

-

Examenes T2 resueltos (superficies)

He publicado nuevos examenes de 4º Métodos Matemáticos Avanzados: Examenes T2 resueltos (superficies)

parcial-2-2022.pdf
parcial-2-2021.pdf
parcial-2-2024.pdf

ejercicios

-

Ejercicios evaluables resueltos

He publicado nuevos ejercicios de 3º Termodinámica y Física Estadística II: Ejercicios evaluables resueltos

ej.-evaluable-1-gas-ideal.pdf
Entrega-II-resuelta.pdf
Entrega-III-termo.pdf

ejercicios

-

Entregas de problemas (resueltos)

He publicado nuevos ejercicios de 4º Electrodinámica Clásica: Entregas de problemas (resueltos)

entrega-1.pdf
entrega-2.pdf
Tercera-Entrega.pdf
Cuarta-entrega-EC.pdf
Quinta-entrega.pdf

He publicado nuevos apuntes de 4º Electrodinámica Clásica: T3-Construccion-leyes-de-la-EC.pdf

14 páginas

examenes

-

Examenes T1 resueltos (tensores)

He publicado nuevos examenes de 4º Métodos Matemáticos Avanzados: Examenes T1 resueltos (tensores)

Parcial 1 2024.pdf
Parcial 1 2023.pdf
Parcial 1 2022.pdf

apuntes

-

Apuntes de teoría

He publicado nuevos apuntes de 4º Electrodinámica Clásica: Apuntes de teoría

T2.-Formulacion-Covariante-de-la-RE.pdf
T1.-Introduccion.pdf

He publicado nuevos apuntes de 3º Termodinámica y Física Estadística I: Resumen-de-teoria.pdf

15 páginas

He publicado nuevos apuntes de 3º Termodinámica y Física Estadística I: Apuntes-de-clase.pdf

51 páginas

apuntes

-

Resúmenes de teoría

He publicado nuevos apuntes de 3º Mecánica Cuántica I: Resúmenes de teoría

T.4-Postulados-de-la-MC.pdf
T.3-Formalismo-de-Dirac.pdf
T.5-Oscilador-armonico.pdf

He publicado nuevos examenes de 3º Metodos Matematicos Iii: Parcial-resuelto-Metodos.pdf

6 páginas

He publicado nuevos test de 3º Termodinámica y Física Estadística I: Test-teoria-temas-1-6.pdf

5 páginas

apuntes

-

Resúmenes teoría

He publicado nuevos apuntes de 2º Electromagnetismo II: Resúmenes teoría

T2-Magnetostatica-en-el-vacio.pdf
T3-Magnetostatica-en-la-materia.pdf

ejercicios

-

Ejercicios resueltos 2023

He publicado nuevos ejercicios de 2º Electromagnetismo II: Ejercicios resueltos 2023

hoja-2.pdf

examenes

-

Exámenes resueltos 2023 mañanas

He publicado nuevos examenes de 2º Métodos Matemáticos II: Exámenes resueltos 2023 mañanas

parcial-marzo.pdf
examen-final-29-mayo.pdf
examen-final-1-junio.pdf