@lauramacias22

35 Publicaciones

2.15k Interacciones

3 Seguidores

1 Siguiendo

Lista de publicaciones de lauramacias22

He publicado nuevos practicas de 4º Mejora Genética: Practica-7.pdf

3 páginas

He publicado nuevos practicas de 4º Mejora Genética: Practica-5.pdf

3 páginas

He publicado nuevos practicas de 4º Mejora Genética: PRACTICA-9.pdf

1 página

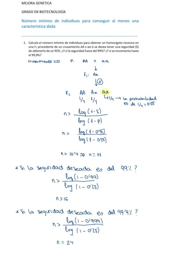
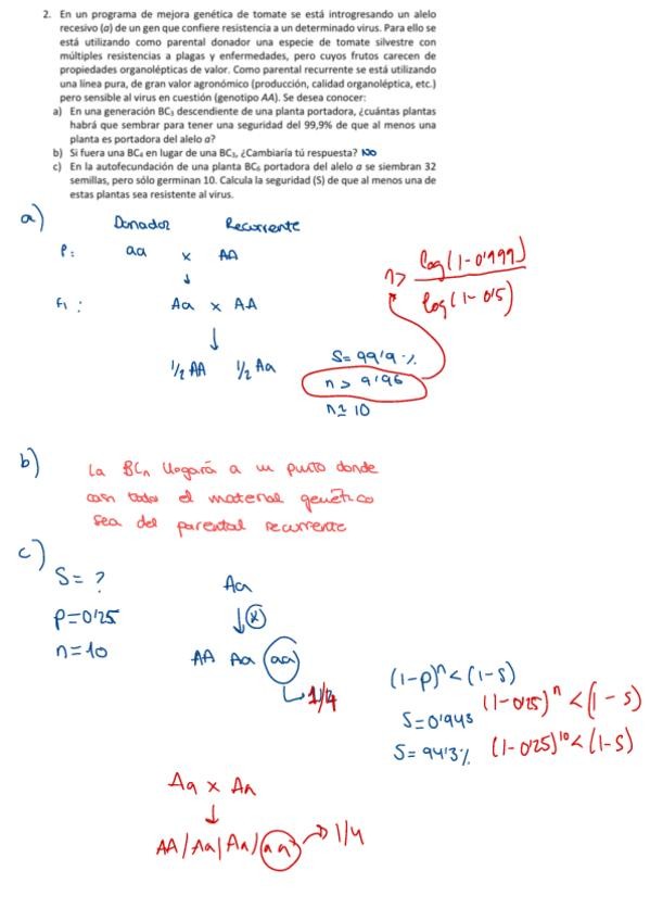
El último problema que aparece lo pregunta en clase para entregar

4 páginas

He publicado nuevos practicas de 4º Mejora Genética: PRACTICA-2.pdf

4 páginas

He publicado nuevos apuntes de 3º Bioinformática: TEMA-7.pdf

7 páginas

He publicado nuevos apuntes de 3º Bioinformática: APUNTES-SOBRE-CONSTRUCCION-DE-ARBOLES-FILOGENETICOS.pdf

5 páginas

He publicado nuevos apuntes de 3º Bioinformática: tema-6.pdf

5 páginas

He publicado nuevos examenes de 2º Ingeniería Bioquímica: EXAMEN-EXCEL-INGENIERIA-BIOQUIMICA-2022-2023.pdf

2 páginas

practicas

-

PRÁCTICAS FISIOLOGÍA VEGETAL

Todas con más de un 8

Practica1.Chardakov.pdf
Practica4.ReacciondeHill.pdf
Practica5.Auxinas-Citoquinas.pdf
Practica2.Transpiracion.pdf
Practica3.DeterminacionNR.pdf

He publicado nuevos examenes de 2º Biorreactores: EXAMEN-ORDINARIO-BIORREACTORES.pdf

3 páginas

apuntes

-

APUNTES Y EJERCICIOS RESUELTOS

He publicado nuevos apuntes de 1º Matemáticas II: APUNTES Y EJERCICIOS RESUELTOS

TODOS-LOS-EJERCICIOS-RESUELTOS-TEMA-2.pdf
EJERCICIOS-RESUELTOS-TEMA-3.pdf
EJERCICIOS-RESUELTOS-TEMA-4.pdf

He publicado nuevos practicas de 1º Bioquímica: INFORME-PRACTICAS-BIOQ-COMPLETO.pdf

19 páginas

ejercicios

-

Actividades genética

He publicado nuevos ejercicios de 1º Genética: Actividades genética

Actividad-4.pdf
Actividad-3.pdf
Actividad-problema.pdf
Actividad-complementaria-2.pdf
Actividad-complementaria-1.pdf

practicas

-

PRÁCTICAS GENÉTICA

He publicado nuevos practicas de 1º Genética: PRÁCTICAS GENÉTICA

PRACTICA-1-GENETICA.pdf
PRATICA-2-GENETICA.pdf
p5-gen.pdf
PRACTICA-4.pdf

practicas

-

PRÁCTICAS VEGETAL CORREGIDAS

He publicado nuevos practicas de 1º Biología Vegetal y Animal: PRÁCTICAS VEGETAL CORREGIDAS

Practica-1-biologia-vegetal.pdf
Practica-2-biologia-vegetal.pdf
Practica-3-biologia-vegetal.pdf
Practica-4-BIOLOGIA-VEGETAL.pdf

apuntes

-

Prácticas física

He publicado nuevos apuntes de 1º Física: Prácticas física

INFORME-FISICA-LAURA-MACIAS.pdf

apuntes

-

Prácticas Química General

He publicado nuevos apuntes de 1º Química General: Prácticas Química General

INFORME-PRACTICA-1-INORGANICA-.pdf
INFORME-PRACTICA-2-QUIMICA-GENERAL.pdf
PRACTICA-3-QUIMICA-GENERAL.pdf