@laurash223

45 Publicaciones

1.21k Interacciones

15 Seguidores

1 Siguiendo

Lista de publicaciones de laurash223

He publicado nuevos apuntes de 3º Dirección de Marketing I: MARKETING-MANAGEMENT-1.pdf

38 páginas

He publicado nuevos apuntes de 3º Macroeconomía: MACROECONOMICS.pdf

16 páginas

He publicado nuevos apuntes de 3º Dirección de Recursos Humanos: HUMAN-RESOURCES-MANAGEMENT.pdf

30 páginas

apuntes

-

DIRECCIÓN FINANCIERA I

He publicado nuevos apuntes de 3º Dirección Financiera I: DIRECCIÓN FINANCIERA I

DIRECCION-FINANCIERA-I.pdf

He publicado nuevos apuntes de 3º Contabilidad de Costes I: COST-ACCOUNTING-1.pdf

20 páginas

apuntes

-

theory

He publicado nuevos apuntes de 2º Sociología de la Empresa y las Organizaciones: theory

UNIT-1-theory.pdf
UNIT-2-theory.pdf
UNIT-3-theory.pdf

He publicado nuevos apuntes de 2º Dirección de Operaciones: Operations-Management.pdf

64 páginas

He publicado nuevos apuntes de 2º Derecho Mercantil II: DERECHO-MERCANTIL-II.pdf.pdf

74 páginas

apuntes

-

DISEÑO ORGANIZATIVO apuntes

He publicado nuevos apuntes de 2º Diseño Organizativo: DISEÑO ORGANIZATIVO apuntes

DISENO-ORGANIZATIVO-apuntes.docx

apuntes

-

DERECHO MERCANTIL I

He publicado nuevos apuntes de 2º Derecho Mercantil I: DERECHO MERCANTIL I

DERECHO-MERCANTIL-I.docx

He publicado nuevos apuntes de 1º Derecho Civil: DERECHO-CIVI1.pdf

58 páginas

apuntes

-

Introduction to marketing

He publicado nuevos apuntes de 1º Introducción al Marketing: Introduction to marketing

INTRODUCTION-TO-MARKETING.pdf

apuntes

-

Introduction to economics II

He publicado nuevos apuntes de 1º Introducción a la Economía II: Introduction to economics II

Intro-to-economics-II.pdf

apuntes

-

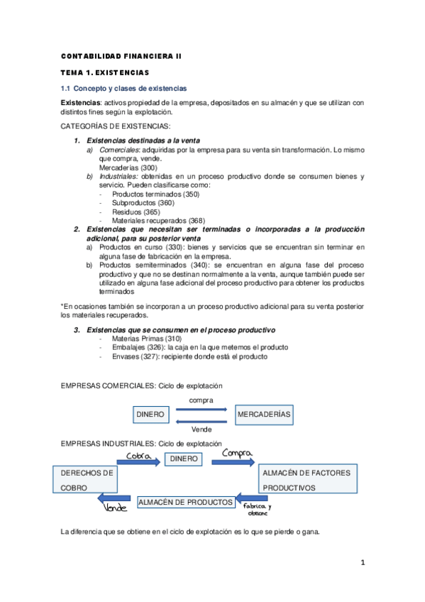
Contabilidad II

He publicado nuevos apuntes de 1º Contabilidad Financiera II: Contabilidad II

Conta-II-TEORIA.pdf

apuntes

-

Statistics

He publicado nuevos apuntes de 1º Estadística Para la Empresa I: Statistics

STATISTICS-I-Formulas.pdf
STATISTICS-I-Unit-3.pdf
STATISTICS-I-Unit-2.pdf
STATISTICS-I-Unit-1.pdf
118567FB-A54A-429C-8DDC-14F41856ED6B-export.pdf

apuntes

-

INTRODUCTION TO ECONOMICS u1

He publicado nuevos apuntes de 1º Introducción a la Economía I: INTRODUCTION TO ECONOMICS u1

INTRODUCTION-TO-ECONOMICS-u1.pdf
INTRODUCTION-TO-ECONOMICS-u2.pdf
INTRODUCTION-TO-ECONOMICS-u3.pdf
INTRODUCTION-TO-ECONOMICS-u4.pdf
INTRODUCTION-TO-ECONOMICS-u5.pdf
INTRODUCTION-TO-ECONOMICS-u6.pdf

apuntes

-

Financial Accounting I

He publicado nuevos apuntes de 1º Contabilidad Financiera I: Financial Accounting I

FINANCIAL-ACCOUNTING-u1.pdf
FINANCIAL-ACCOUNTING-u2.pdf
FINANCIAL-ACCOUNTING-u3.pdf
FINANCIAL-ACCOUNTING-u4.pdf
FINANCIAL-ACCOUNTING-u5.pdf
FINANCIAL-ACCOUNTING-u6.pdf

apuntes

-

Business

He publicado nuevos apuntes de 1º Administración de Empresas: Business

BUSINESS-MANAGEMENT-u1.pdf
BUSINESS-MANAGEMENT-u2.pdf
BUSINESS-MANAGEMENT-u3.pdf
BUSINESS-MANAGEMENT-u4-1.pdf
BUSINESS-MANAGEMENT-u5.pdf
BUSINESS-MANAGEMENT-u6.pdf