@lauravaleiro_

Bio: Media de 9,9 en 2 Bach

80 Publicaciones

1.69k Interacciones

10 Seguidores

0 Siguiendo

Lista de publicaciones de lauravaleiro_

apuntes

-

Matemáticas ABAU

He publicado nuevos apuntes de Matemáticas II: Matemáticas ABAU

Matrices.pdf
Analisis-2.pdf
Analisis.pdf
Rectas.pdf

apuntes

-

Dibujo técnico ABAU

He publicado nuevos apuntes de Dibujo técnico II: Dibujo técnico ABAU

Abatimientos-y-revoluciones.pdf
Paralelismo-perpendicularidad-y-distancias.pdf
Secciones.pdf
Introduccion-diedrico.pdf
Ejercicios-Paralelismo-perpendicularidad-y-distancias.pdf
Curvas-y-Tangencias.pdf

apuntes

-

Física ABAU

He publicado nuevos apuntes de Física: Física ABAU

2.pdf
4.pdf
3.pdf
5.pdf
6.pdf
1.pdf

apuntes

-

Inglés ABAU

He publicado nuevos apuntes de Inglés: Inglés ABAU

Fonetica.pdf
Gramatica.pdf

apuntes

-

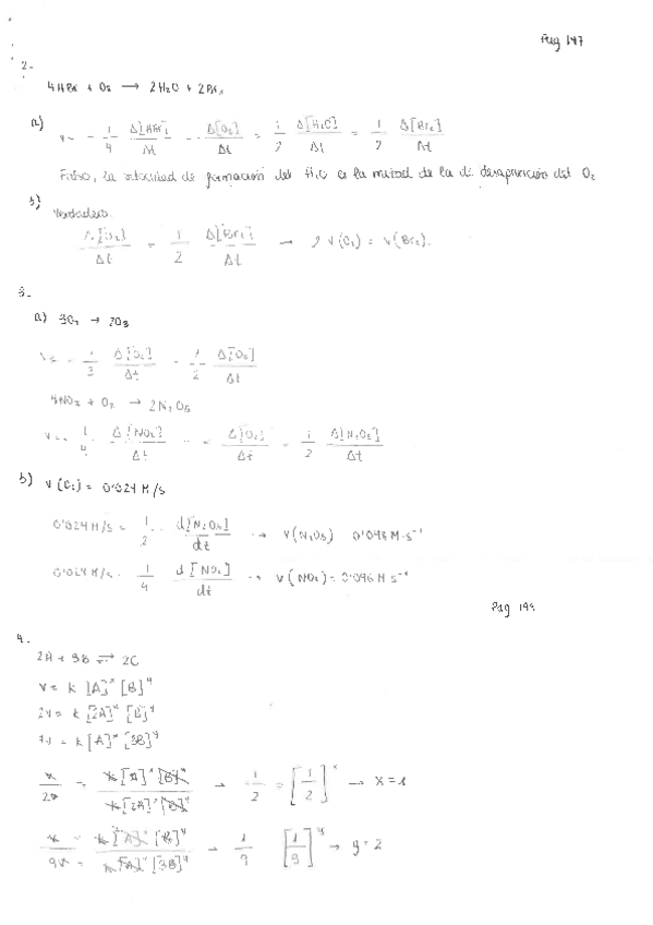
Química ABAU

He publicado nuevos apuntes de Química: Química ABAU

Ejercicios-equilibrio-libro.pdf
Teoria-cinetica.pdf
Ejercicios-cinetica.pdf
Teoria-enlaces.pdf
Teoria-acido-base.pdf
Ejercicios-equilibrio.pdf

apuntes

-

Sintaxis

He publicado nuevos apuntes de Lingua Galega e Literatura II: Sintaxis

Exames-ABAU-e-comentarios.pdf
Posicion-pronomes.pdf
Fonetica.pdf
Variedades-dialectais.pdf
Uso-do-que-e-do-se.pdf
Morfoloxia.pdf