@Lauu7_

Estudios: Grado en Ingeniería Mecánica (UMA) ...Mostrar más

31 Publicaciones

367 Interacciones

1 Seguidores

4 Siguiendo

Lista de publicaciones de Lauu7_

apuntes

-

Resistencia de materiales

He publicado nuevos apuntes de 2º Resistencia de Materiales: Resistencia de materiales

Formulario-Resis.pdf
Formulario-Elasticidad.pdf

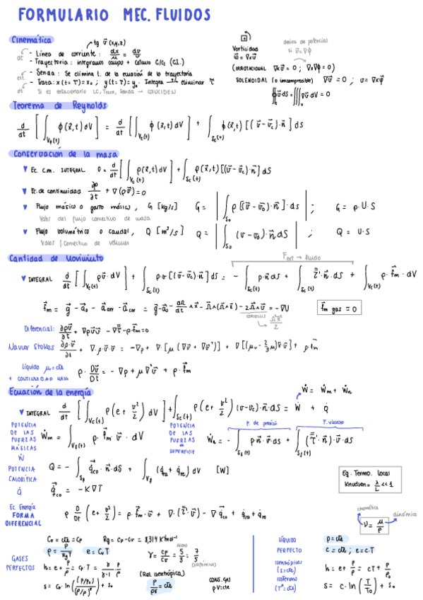
He publicado nuevos apuntes de 2º Mecánica de Fluidos: Formulario-Definitivo.pdf

2 páginas

apuntes

-

Gestión de empresas

He publicado nuevos apuntes de 1º Gestión de Empresas: Gestión de empresas

Gestion-de-empresas.pdf
Tema-2-Empresas.pdf
tema-1-empresas.pdf
tema-3-empresas.pdf

apuntes

-

EXPRESION GRÁFICA

He publicado nuevos apuntes de 1º Expresión Gráfica en la Ingeniería: EXPRESION GRÁFICA

DIEDRICO.pdf
Axonometrico-y-Caballera.pdf
planos-acotados.pdf

apuntes

-

Cálculo

He publicado nuevos apuntes de 1º Cálculo: Cálculo

Calculo-Bloque-5.pdf
Calculo-Bloque-1.pdf
Calculo-Bloque-6.pdf
Calculo-Bloque-4.pdf
Calculo-Bloque-2.pdf
Calculo-Bloque-3.pdf