@leeeoo

Estudios: Grado en Ingeniería Civil (UGR) ...Mostrar más

Bio: Apuntes y esquemas de ingenieria civil en la ugr + Apuntes y esquemas temario ebau para 2bach tecnológico canarias (2023)

65 Publicaciones

2.87k Interacciones

17 Seguidores

2 Siguiendo

Lista de publicaciones de leeeoo

He publicado nuevos apuntes de 1º Geometria Diferencial: Apuntes-Tema-3-Geometria-Diferencial-Integrales-de-linea-y-superficie-Leonor-Rguez.pdf

4 páginas

He publicado nuevos apuntes de 1º Estadística: apuntes-temas-345-estadistica-parcial-2-Leo-Rguez.pdf

7 páginas

He publicado nuevos apuntes de 1º Geometria Diferencial: Apuntes-temas-1-y-2-Curvas-y-Superficies-Geometria-Diferencial.-Leo-Rguez.pdf

10 páginas

He publicado nuevos apuntes de 2º Ingeniería Geomática, Sitemas de Información Geográfic Ay Topografía: Teoria-civil-3D.pdf

5 páginas

apuntes

-

Civil 3D

He publicado nuevos apuntes de 2º Ingeniería Geomática, Sitemas de Información Geográfic Ay Topografía: Civil 3D

Teoria-obras-lineales-civil-3D.pdf

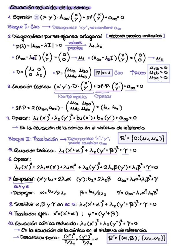
He publicado nuevos apuntes de 1º Álgebra Lineal y Geometría: Formulario-Tema-6-Conicas.pdf

4 páginas

He publicado nuevos apuntes de 1º Álgebra Lineal y Geometría: Formulario-Tema-4-Diagonalizacion.pdf

2 páginas

He publicado nuevos apuntes de 1º Álgebra Lineal y Geometría: Formulario-Tema-3-Aplicaciones-lineales-e-isometrias.pdf

4 páginas

apuntes

-

Problemas

He publicado nuevos apuntes de 2º Ingeniería Geomática, Sitemas de Información Geográfic Ay Topografía: Problemas

Problema-2-topografia.pdf
Problema-2-topografia.pdf
Problema-3-topografia.pdf

apuntes

-

Ejercicios explicados

He publicado nuevos apuntes de 1º Cálculo: Ejercicios explicados

Limites-e-imagen.pdf
Desigualdades.pdf

apuntes

-

Formularios

He publicado nuevos apuntes de 1º Cálculo: Formularios

Formulario-derivadas-integrales-1.pdf
Formulario-primer-parcial-menos-integrales.pdf

He publicado nuevos apuntes de 1º Álgebra Lineal y Geometría: Formulario-Tema-2-Espacios-Vectoriales.pdf

4 páginas

He publicado nuevos apuntes de 1º Álgebra Lineal y Geometría: Tema-2-Espacios-vectoriales.pdf

10 páginas

He publicado nuevos apuntes de 1º Álgebra Lineal y Geometría: Tema-1-Matrices.pdf

7 páginas

He publicado nuevos apuntes de 1º Física: Termodinamica-y-electrostatica.pdf

2 páginas

apuntes

-

Teoría resumida

He publicado nuevos apuntes de 2º Planificación Territorial y Urbana: Teoría resumida

apuntes-temas-1-2-y-3-Leonor-Rguez.pdf
apuntes-lecturas-tema-3-Leonor-Rguez.pdf
apuntes-tema-6-Leonor-Rguez.pdf
apuntes-tema-7-Leonor-Rguez.pdf
apuntes-tema-8-Leonor-Rguez.pdf
apuntes-tema-9-Leonor-Rguez.pdf

apuntes

-

Geología

He publicado nuevos apuntes de 1º Geología: Geología

Geologia-practicas-rocas.pdf
Geologia-tema-1.pdf
Geologia-teoria-mapas.pdf
Geologia-tema-2.pdf
Geologia-practica-balance-hidrico.pdf
Geologia-tema-5.pdf

examenes

-

Examen ordinaria

He publicado nuevos examenes de 2º Mecánica del Suelo y Rocas: Examen ordinaria

examen-practico-laboratorio.pdf
autoevaluacion.pdf
tipo-test-teoria.pdf