@Lenferding

5 Publicaciones

963 Interacciones

0 Seguidores

0 Siguiendo

Lista de publicaciones de Lenferding

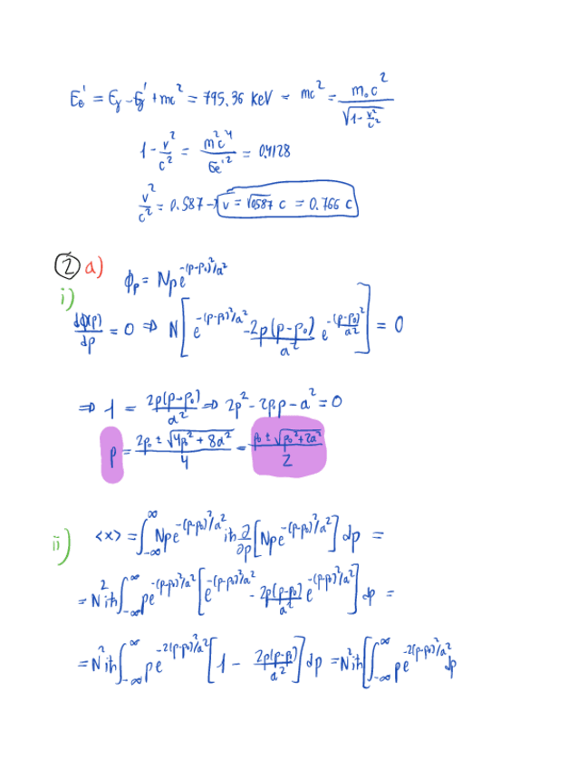
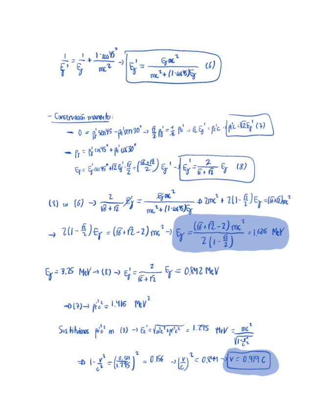
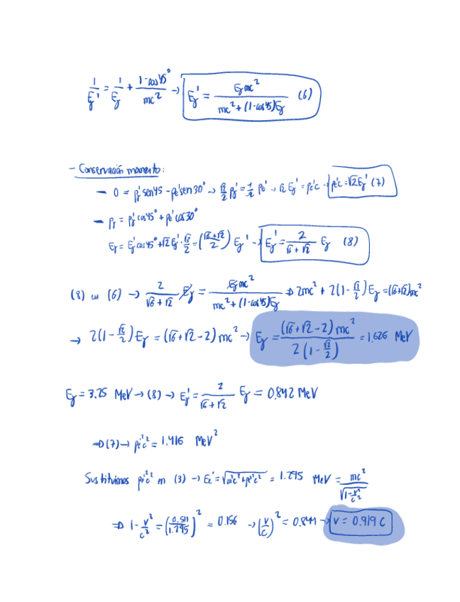
He publicado nuevos examenes de 4º Física Nuclear y de Partículas: Enero-2025-Nuclear-Resuelto.pdf

7 páginas

He publicado nuevos examenes de 4º Mecánica Cuántica: Ordinario2024-2025Resuelto.pdf

9 páginas

He publicado nuevos examenes de 3º Física Cuántica: Primer-Parcial-Febrero-2023-2024-Resuelto.pdf

7 páginas

He publicado nuevos examenes de 3º Física Cuántica: Primer-Parcial-Junio-2022-2023-Resuelto.pdf

10 páginas

He publicado nuevos examenes de 3º Física Cuántica: Primer-Parcial-Enero-2022-2023-Resuelto.pdf

11 páginas