@leontjark

31 Publicaciones

1.35k Interacciones

9 Seguidores

0 Siguiendo

Lista de publicaciones de leontjark

He publicado nuevos examenes de 4º Análisis y planificación financiera: APF-FINAL-EXAM-2019.pdf

pdf

He publicado nuevos apuntes de 4º Análisis y planificación financiera: APF-SUMMARY-CHAPTERS-1-4.pdf

pdf

He publicado nuevos apuntes de 4º Análisis y planificación financiera: SUMMARY-APF-Short-Version.pdf

pdf

He publicado nuevos apuntes de 4º Comportamiento del Consumidor: STUDY-GUIDE-CONSUMER-BEHAVIOUR.pdf

83 páginas

He publicado nuevos apuntes de 4º Economía Industrial Aplicada: GUIA-DE-ESTUDIOS-COMPLETA-ECONOMIA-INDUSTRIAL-APLICADA.pdf

62 páginas

He publicado nuevos apuntes de 3º Dirección de la Producción: FINAL-EXAM-PRODUCTION-MANAGEMENT.pdf

48 páginas

He publicado nuevos examenes de 3º Decisiones de financiación: Exam-Example-Financing-Decisions.pdf

5 páginas

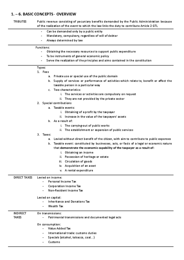
He publicado nuevos apuntes de 3º Sistema Fiscal Ii: APUNTES-SISTEMA-FISCAL-ACTUALIZADOS.pdf

55 páginas

He publicado nuevos apuntes de 3º Investigación Comercial: APUNTES-COMPLETOS-INV.pdf

21 páginas

He publicado nuevos apuntes de 3º Econometría: ECONOMETRICS-APUNTES-CHAPTERS-1-TO-6.pdf

9 páginas

ejercicios

-

EJERCICIOS LIQUIDACIÓN COMPLETOS

He publicado nuevos ejercicios de 3º Sistema Fiscal Ii: EJERCICIOS LIQUIDACIÓN COMPLETOS

CIT-LIQUIDATION-EXERCISE-1.pdf
CIT-LIQUIDATION-EXERCISE-3.pdf
CIT-LIQUIDATION-EXERCISE-4.pdf
CIT-LIQUIDATION-EXERCISE-2.pdf
CIT-LIQUIDATION-EXERCISE-5.pdf

He publicado nuevos apuntes de 2º Sociología industrial y de la empresa: Sociology-Complete.pdf

63 páginas

He publicado nuevos apuntes de 2º Sistema Fiscal I: Apuntes-Examen-Final.pdf

23 páginas

He publicado nuevos apuntes de 2º Economía Española: Formulas-Spanish.pdf

3 páginas

He publicado nuevos apuntes de 2º Organización y Diseño: Apuntes-Examen-Final.pdf

39 páginas

He publicado nuevos apuntes de 2º Contabilidad de Gestión: examen-de-prueba.pdf

20 páginas

He publicado nuevos apuntes de 2º Contabilidad de Gestión: ApuntesExamenFinal.pdf

9 páginas

He publicado nuevos apuntes de 2º Política Económica: Apuntes-Examen-Final-EconPol.pdf

39 páginas

He publicado nuevos apuntes de 3º Fundamentos de Marketing: Study-Guide-Marketing-Leon.pdf

22 páginas

He publicado nuevos apuntes de 3º Dirección de Recursos Humanos: Apuntes-Libros-Human-Resources.pdf

31 páginas