@lfm_11

1k Publicaciones

65.22k Interacciones

58 Seguidores

0 Siguiendo

Lista de publicaciones de lfm_11

ejercicios

-

Problemas resueltos

He publicado nuevos ejercicios de 3º Tecnología de Materiales: Problemas resueltos

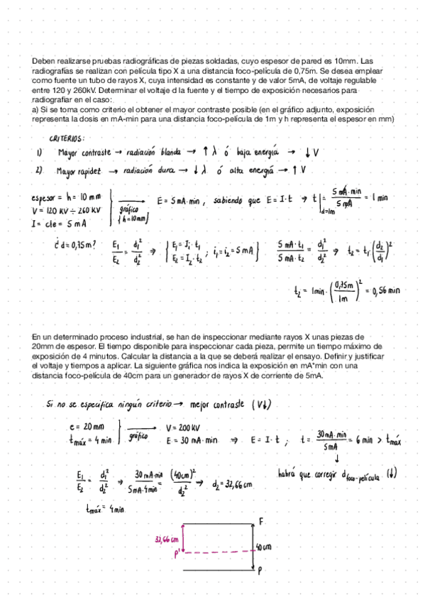
Problemas-Radiografia.pdf
Problemas-Fatiga.pdf
Problemas-Fractura.pdf
ProblemasFluencia.pdf

examenes

-

Exámenes anteriores resueltos

He publicado nuevos examenes de 3º Ingeniería Térmica: Exámenes anteriores resueltos

Examenes-Anteriores-II.pdf
Examenes-Anteriores-I.pdf

examenes

-

Problemas examen resueltos

He publicado nuevos examenes de 3º Estructuras Metálicas: Problemas examen resueltos

Problemas-examenIV.pdf
Problemas-examenVIII.pdf
Problemas-examenX.pdf
Problemas-examenIII.pdf
Problemas-examenV.pdf
Problemas-examenVI.pdf

apuntes

-

Apuntes bloques 0-1

He publicado nuevos apuntes de 3º Estructuras Metálicas: Apuntes bloques 0-1

Apuntes-bloque-0.pdf
Apuntes-bloque-1.pdf

ejercicios

-

Problemas clase

He publicado nuevos ejercicios de 3º Estructuras Metálicas: Problemas clase

Problemas-clase-II.pdf
Problemas-clase-I.pdf
Problemas-clase-III.pdf

examenes

-

Teoría exámenes resuelta

He publicado nuevos examenes de 3º Estructuras Metálicas: Teoría exámenes resuelta

2016-09-12-EXAMEN-GIM.pdf

examenes

-

Teoría exámenes resuelta

He publicado nuevos examenes de 3º Cálculo y Diseño de Máquinas: Teoría exámenes resuelta

2016-05-25-EXAMEN-GIM.pdf
2016-02-08-EXAMEN-GITI.pdf
2017-09-05-EXAMEN-GIM.pdf
2017-02-14-EXAMEN-GITI.pdf
2018-02-08-EXAMEN-GITI.pdf
2018-09-20-EXAMEN-GIM.pdf

ejercicios

-

Problemas clase 1 parte

He publicado nuevos ejercicios de 3º Cálculo y Diseño de Máquinas: Problemas clase 1 parte

Problemas-de-clase-1-parte-I.pdf
Problemas-de-clase-1-parte-II.pdf
Problemas-de-clase-1-parte-III.pdf

trabajos

-

Trabajos evaluación continua

He publicado nuevos trabajos de 3º Cálculo y Diseño de Máquinas: Trabajos evaluación continua

TrabajoSeleccionRodamientos.pdf
TrabajoSeleccionTransmisionesFlexibles.pdf
TrabajoFrenos.pdf

examenes

-

Problemas resueltos examen

He publicado nuevos examenes de 3º Cálculo y Diseño de Máquinas: Problemas resueltos examen

Union-atornillada-Junio-22.pdf
Rodamiento-Junio-21.pdf
Ejes-y-fatiga-Junio-21.pdf

apuntes

-

Problemas resueltos_ 2 parte

He publicado nuevos apuntes de 3º Cálculo y Diseño de Máquinas: Problemas resueltos_ 2 parte

Problemas-seleccion-cadenas.pdf
Problemas-Uniones.pdf
Problemas-cables.pdf
Problemas-Resortes.pdf
Problemas-Rodamientos-I.pdf
Problemas-Ejes.pdf