@Liaaaaa

Bio: Estudiante: Bachillerato social / Ade

83 Publicaciones

237 Interacciones

1 Seguidores

4 Siguiendo

Lista de publicaciones de Liaaaaa

He publicado nuevos apuntes de 1º Introducció a L'economia: IE-TEMA-1.pdf

5 páginas

He publicado nuevos apuntes de 1º Matemàtiques I: Mates-T2.pdf

3 páginas

He publicado nuevos apuntes de 1º Matemàtiques I: mates-microresumen-T1-y-T2.pdf

2 páginas

He publicado nuevos apuntes de 1º Matemàtiques I: Mates-T1.pdf

3 páginas

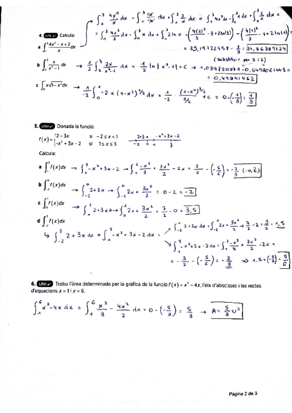
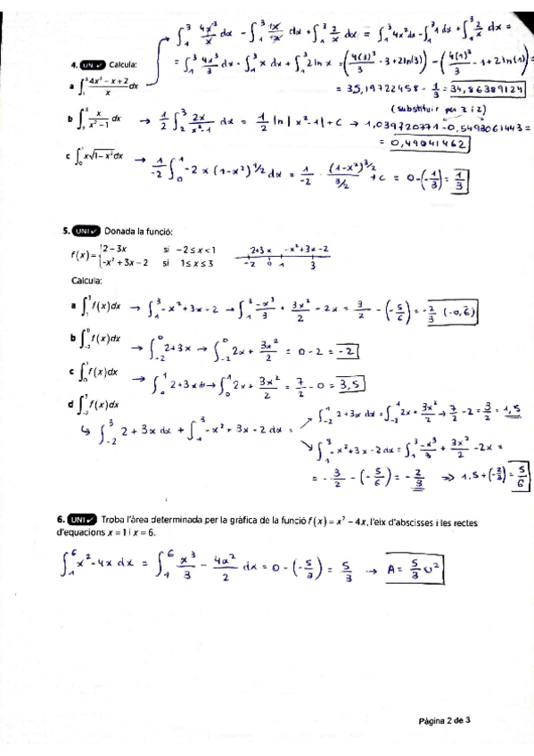
He publicado nuevos apuntes de 2º Matemáticas aplicadas a las Ciencias Sociales II: autoav.-mates-integrals.pdf

3 páginas

He publicado nuevos apuntes de 2º Lengua Catalana y Literatura II: Documento-catala-2-batx.pdf

2 páginas

He publicado nuevos apuntes de 2º Lengua Catalana y Literatura II: cat2n-T.4.pdf

2 páginas

He publicado nuevos apuntes de 2º Lengua Catalana y Literatura II: Fonetica-cat.-2n.pdf

4 páginas

He publicado nuevos apuntes de 2º Historia de España: historia-crisis-de-la-restauracio-1902-1931.pdf

3 páginas

He publicado nuevos apuntes de 2º Historia de España: T.2-catalanisme-pol.pdf

3 páginas

He publicado nuevos apuntes de 2º Historia de la Filosofía: Plato.pdf

4 páginas

He publicado nuevos apuntes de 2º Historia de la Filosofía: 12-Descartes.pdf

2 páginas

He publicado nuevos apuntes de 2º Geografía: t.3-geo-2n.pdf

5 páginas

He publicado nuevos apuntes de 2º Geografía: geo-2n.pdf

3 páginas

He publicado nuevos apuntes de 2º Geografía: geo-trim2.pdf

5 páginas

He publicado nuevos apuntes de 2º Geografía: geo-t4.pdf

6 páginas

He publicado nuevos apuntes de 2º Geografía: geo-t1-y-t2.pdf

7 páginas

He publicado nuevos apuntes de 2º Inglés II: Tema-0.pdf

2 páginas

He publicado nuevos apuntes de 2º Inglés II: Ing.U.5.pdf

2 páginas

He publicado nuevos apuntes de 2º Inglés II: ING-T.1-2n.pdf

2 páginas