@lilianahottinen13

Estudios: Grado en Educación Primaria (UCV) ...Mostrar más

10 Publicaciones

140 Interacciones

0 Seguidores

0 Siguiendo

Lista de publicaciones de lilianahottinen13

He publicado nuevos examenes de 1º Álgebra: Examen-de-Algebra-Febrero-2012.pdf

pdf

He publicado nuevos examenes de 1º Álgebra: Examen-de-Algebra-Septiembre-2013.pdf

pdf

He publicado nuevos examenes de 1º Álgebra: Examen-de-Algebra-Febrero-2011.pdf

pdf

He publicado nuevos apuntes de 1º Álgebra: Tema-5Ejercicios.pdf

pdf

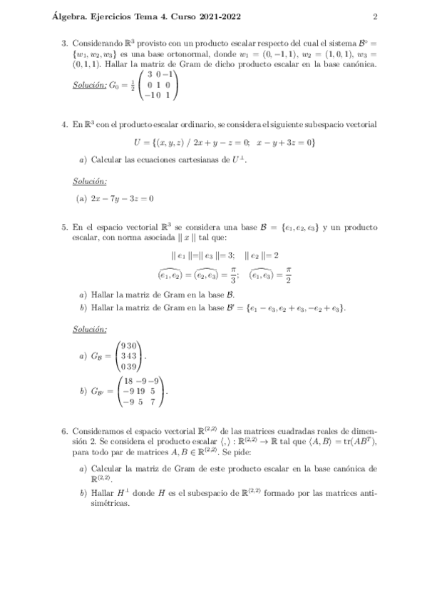
He publicado nuevos apuntes de 1º Álgebra: Tema-4Ejercicios.pdf

pdf

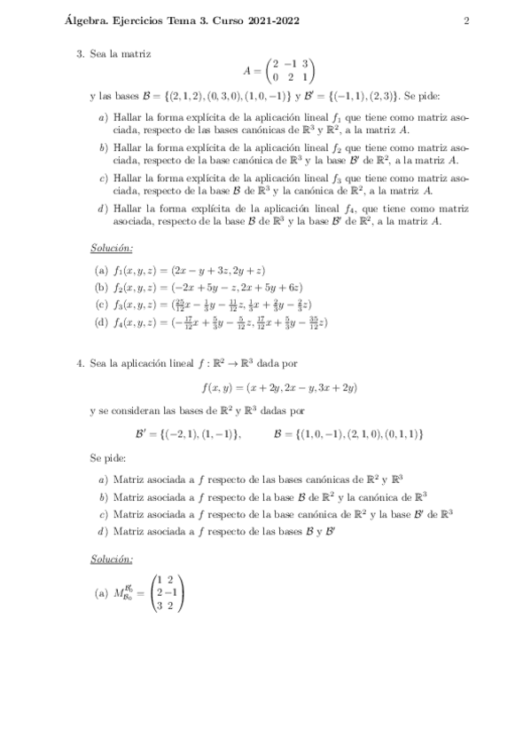
He publicado nuevos apuntes de 1º Álgebra: Tema-3Ejercicios.pdf

pdf

He publicado nuevos apuntes de 1º Álgebra: Tema-1Ejercicios.pdf

pdf

He publicado nuevos apuntes de 3º Formación Literaria Para Maestros: 1.pdf

40 páginas

He publicado nuevos apuntes de 3º Formación Literaria Para Maestros: 2.pdf

48 páginas

He publicado nuevos apuntes de 3º Formación Literaria Para Maestros: 3.pdf

62 páginas