@lilith19

Estudios: Grado en Arquitectura Técnica (UPV) ...Mostrar más

98 Publicaciones

3.47k Interacciones

15 Seguidores

1 Siguiendo

Lista de publicaciones de lilith19

He publicado nuevos apuntes de 1º Materiales de Construcción I: Resumenes-tema-1-a-5.pdf

8 páginas

He publicado nuevos apuntes de 2º Legislación: Resumenes-t1-y-2.pdf

5 páginas

He publicado nuevos apuntes de 1º Construcción I: Resumenes-t1-a-5.pdf

8 páginas

He publicado nuevos apuntes de 1º Materiales de Construcción II: Resumenes-primer-parcial.pdf

5 páginas

He publicado nuevos examenes de 1º Matemáticas II: Primer-parcial-mates-ii.pdf

2 páginas

He publicado nuevos examenes de 1º Matemáticas I: Primer-parcial-mates-1.pdf

2 páginas

practicas

-

Prácticas de laboratorio

He publicado nuevos practicas de 1º Materiales de Construcción II: Prácticas de laboratorio

PL-1-GRANULOMETRIA.pdf
PL4-ARIDOS.pdf
PL-2-YESOS.pdf

He publicado nuevos apuntes de 1º Matemáticas II: Mates-II-Tema-1-y-2.pdf

3 páginas

He publicado nuevos practicas de 1º Geometría Descriptiva: Lamina-1-A3-diedrico.pdf

1 página

He publicado nuevos apuntes de 1º Matemáticas I: Mates-I.pdf

3 páginas

He publicado nuevos apuntes de 1º Matemáticas I: Mates-I.pdf

6 páginas

He publicado nuevos apuntes de 1º Materiales de Construcción II: Resumenes-primer-parcial.pdf

5 páginas

He publicado nuevos ejercicios de 1º Materiales de Construcción I: Ejercicio-examen-segundo-parcial.pdf

1 página

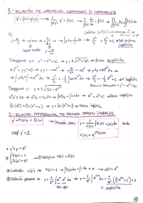
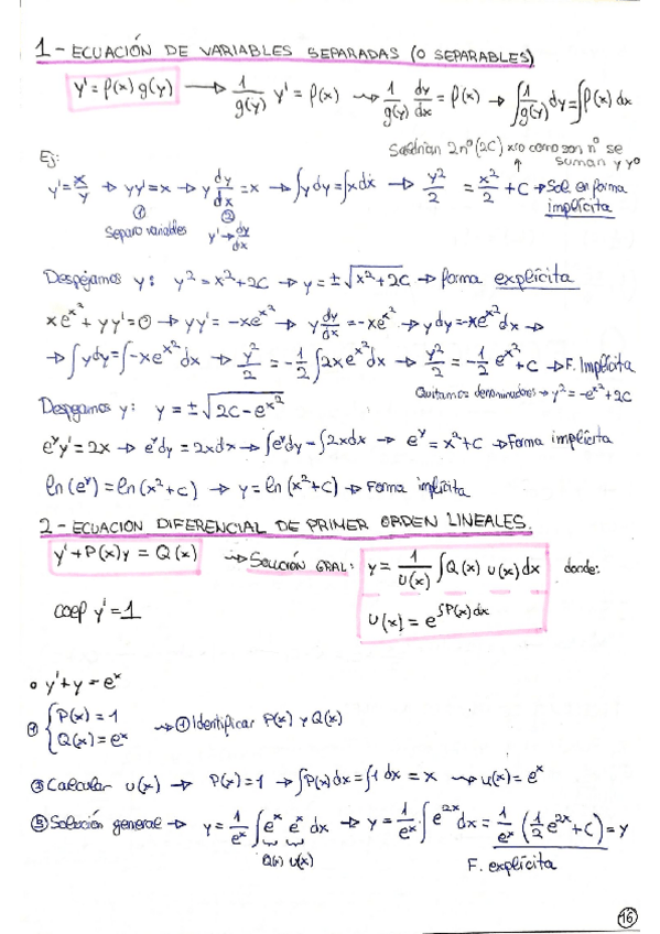
He publicado nuevos apuntes de 1º Matemáticas II: T2-Ecuaciones-diferenciales.pdf

9 páginas

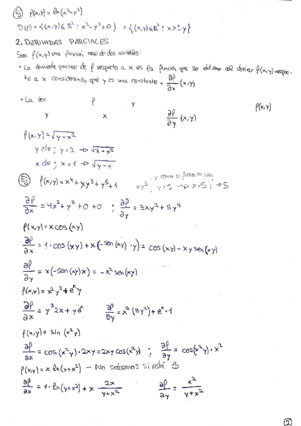
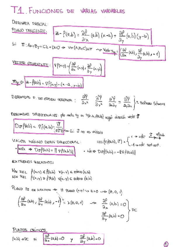
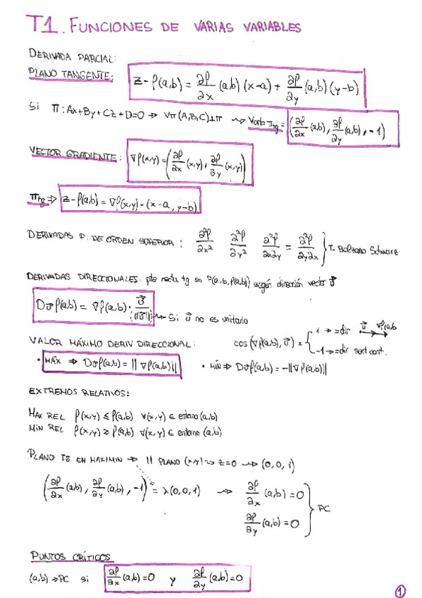
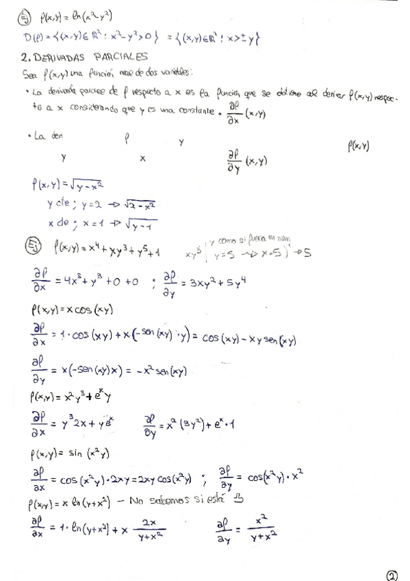
He publicado nuevos apuntes de 1º Matemáticas II: T1-Funciones-de-varias-variables.pdf

15 páginas

He publicado nuevos apuntes de 1º Matemáticas I: T4-Espacio-afin-euclideo.pdf

12 páginas

He publicado nuevos apuntes de 1º Matemáticas I: T3-Diagonalizacion-de-matrices.pdf

15 páginas

He publicado nuevos apuntes de 1º Construcción I: Apuntes-clase-Primer-cuatri.pdf

30 páginas

apuntes

-

Prácticas de aula y laboratorio

He publicado nuevos apuntes de 2º Instalaciones I: Prácticas de aula y laboratorio

PA-7-ENERGIA-SOLAR-TERMICA-INSTALACIONES-I.pdf
PA-3-GRUPOS-DE-PRESION-INSTALACIONES-I.pdf
PA-2-PROBLEMA-DE-BOMBAS-INSTALACIONES-1.pdf
PA-9-SANEAMIENTO-INSTALACIONES-I.pdf
PA-4-AGUA-CALIENTE-SANITARIA-ACS-INSTALACIONES-I.pdf
PL-2-BOMBAS-EN-SERIE-Y-PARALELO-INSTALACIONES-1.pdf

He publicado nuevos apuntes de 1º Materiales de Construcción II: CUESTIONES-SOBRE-AGLOMERANTES-Y-CONGLOMERANTES.pdf

1 página