@LittleEyre

9 Publicaciones

61 Interacciones

1 Seguidores

0 Siguiendo

Lista de publicaciones de LittleEyre

He publicado nuevos apuntes de 1º Literatura Comparada: Teoria-2-y-analisis-y-comparacion-de-textos.pdf

5 páginas

He publicado nuevos apuntes de 4º Apuntes Variados: Historia-contemporania.pdf

10 páginas

He publicado nuevos apuntes de 1º Literatura Comparada: Historia-de-las-disciplinas-y-teoria-1.pdf

7 páginas

ejercicios

-

English Grammar

He publicado nuevos ejercicios de 4º Apuntes Variados: English Grammar

Wrap-up-assignment-Semantics.pdf
Pragmatics-exercises.pdf
Semantics-exercises.pdf
Wrap-up-assignment-Morphology.pdf
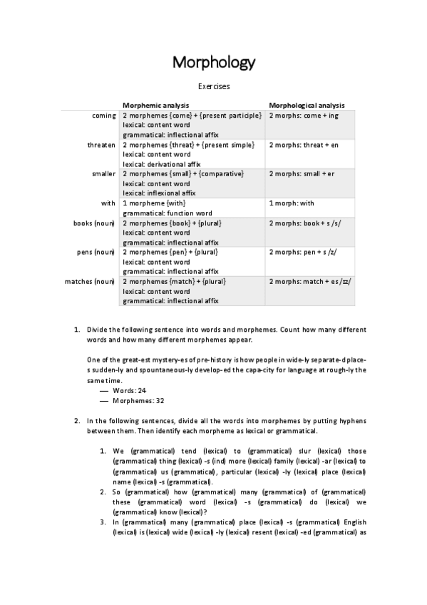
Morphology-exercises.pdf
Wrap-up-assignment-Pragmatics.pdf