@lklooooooooooo

Estudios: Grado en Ingeniería Mecánica (UCA) ...Mostrar más

73 Publicaciones

1.69k Interacciones

1 Seguidores

0 Siguiendo

Lista de publicaciones de lklooooooooooo

apuntes

-

HP

Teoria primera parte para HP

1 MATERIALES.zip
2 MATERIALES.zip

examenes

-

Examen Junio 2018

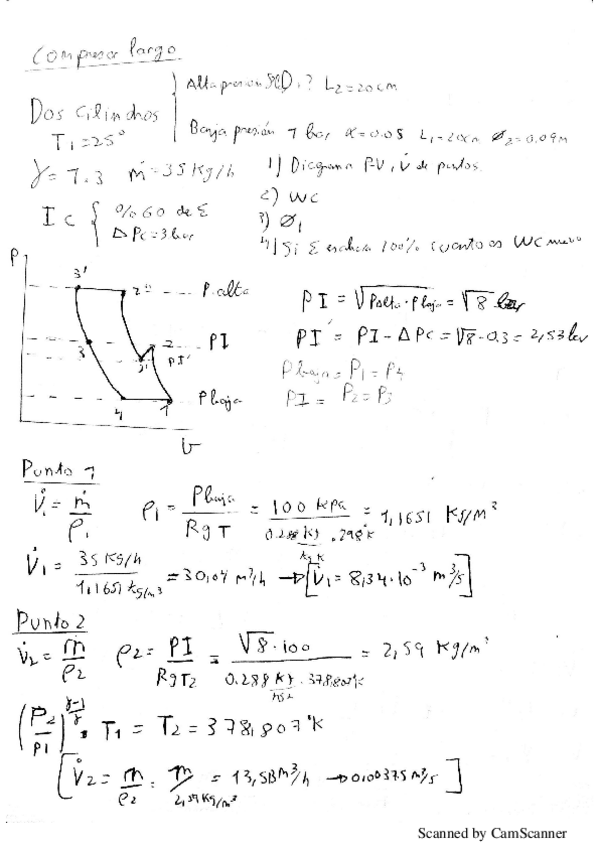
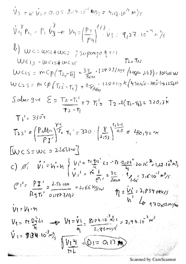
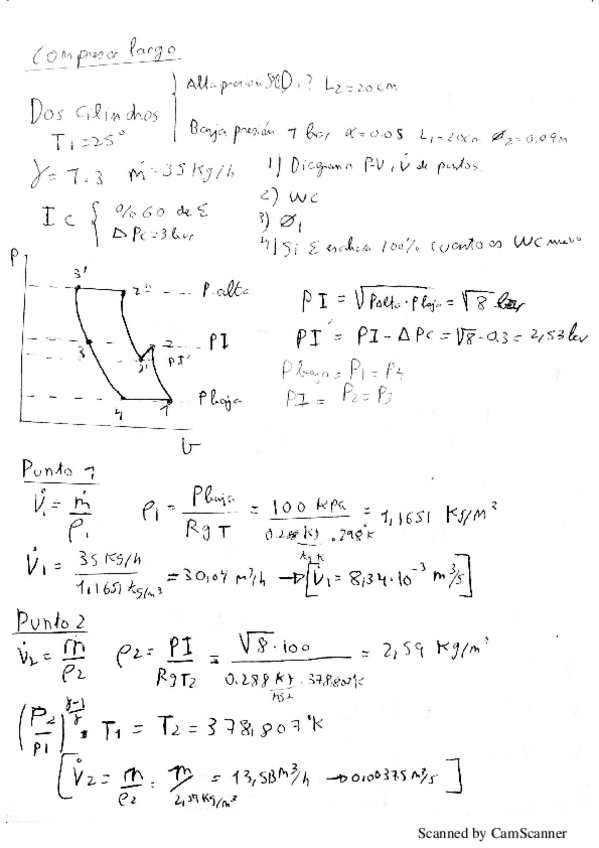
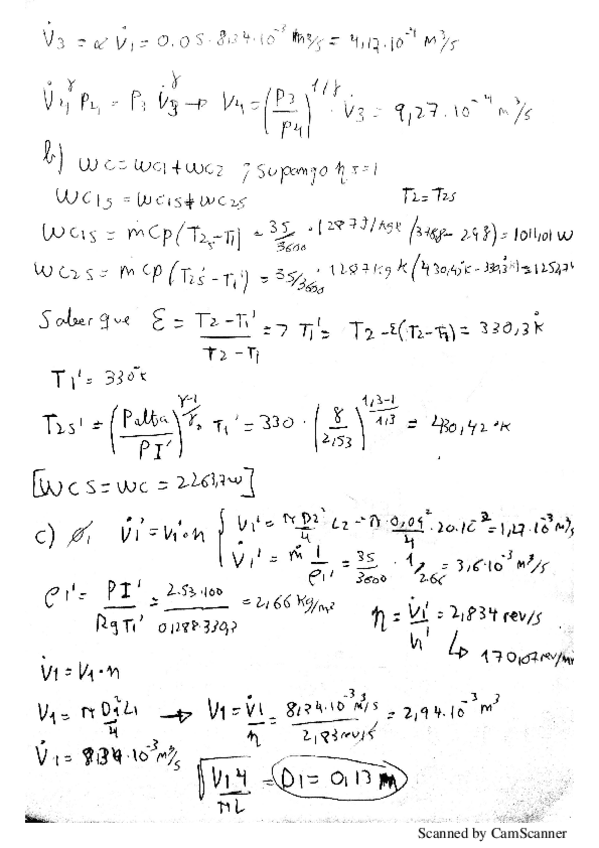
Maquina térmica 2PPIO RESUELTO

15470264091781813587717.jpg
1547026394892403969353.jpg

examenes

-

Exámen FEB 2018

Problema 1 del exámen de febrero de 2018 resuelto, Segundo principio .

1547025064089919015905.jpg
154702510470629331992.jpg

ejercicios

-

FACTOR DE BYPASS

Problema del factor de BYPASS resuelto hasta el último número, sin iterar.

15470256806331498676684.jpg
1547025665704780075708.jpg

examenes

-

Exámen JUN 2018

Examen Junio 2018 con enunciado y resuelto AIRE HÚMEDO

15470258574332045779456.jpg
1547025871744438393288.jpg
15470258876491170899389.jpg

examenes

-

Ex JUN 18 especial

Examen junio 2018 convocatoria extraordinaria RESUELTO

1547026135855706906578.jpg
15470261498911836063333.jpg
15470261129951119556224.jpg

examenes

-

P2 exámen FEB 2018

Problema del primer principio con enunciado y resuelto hasta el final.

154702544236723365042.jpg
1547025419568888303553.jpg

apuntes

-

Extraordinaria JUN18

Examen 2PPIO RESUELTO

15470265581041417149319.jpg
1547026574377383910649.jpg

apuntes

-

Exámen DIC 18 P-D con 3deltas RESUELTO.

He publicado nuevos apuntes de 3º Cálculo y Diseño de Estructuras: Exámen DIC 18 P-D con 3deltas RESUELTO.

15469608038541083100669.jpg
15469608224261827295243.jpg
15469607888861079578240.jpg

Enlace con todo, apuntes muy ilustrativos de bombas, turbinas y redes.

https://ocw.unican.es/course/view.php?id=30&section=4

He publicado nuevos apuntes de 3º Ingeniería Fluidomecánica: TURBINAS CANTABRIA.pdf

68 páginas

APUNTES MUY CLAROS de la universidad de Cantabria, con muchos dibujos a color explicativos y detalles muy importantes.

69 páginas

APUNTES MUY CLAROS de la universidad de Cantabria, con muchos dibujos a color explicativos y detalles muy importantes.

24 páginas

examenes

-

EX FEB 18 PROBLEMA 1 resuelto

He publicado nuevos examenes de 2º Termotecnia: EX FEB 18 PROBLEMA 1 resuelto

1542365711577505984913.jpg
15423656882531460163870.jpg

examenes

-

EX FEB 18 PROBLEMA 2 resuelto

He publicado nuevos examenes de 2º Termotecnia: EX FEB 18 PROBLEMA 2 resuelto

IMG_20181116_115854.jpg
IMG_20181116_115900.jpg

He publicado nuevos examenes de 3º Cálculo y Diseño de Estructuras: Examen Pendiente Desviacion.pdf

4 páginas

He publicado nuevos ejercicios de 3º Ingeniería Fluidomecánica: PB Redes Tipo Cualitativo - Ejemplo de resolución en el examen.pdf

5 páginas

He publicado nuevos ejercicios de 3º Ingeniería Fluidomecánica: condensadores.pdf

10 páginas

He publicado nuevos ejercicios de 3º Ingeniería Fluidomecánica: Prob. Completo Bombas (PROB 9 Y PROB 10).pdf

10 páginas

He publicado nuevos apuntes de 2º Termotecnia: Formulario Termodinámica.pdf

4 páginas