@Llllla

53 Publicaciones

4.17k Interacciones

2 Seguidores

1 Siguiendo

Lista de publicaciones de Llllla

He publicado nuevos ejercicios de 2º Ingeniería Química: Intercambiadores.pdf

20 páginas

He publicado nuevos ejercicios de 2º Ingeniería Química: Absorcion-y-desorcion.pdf

16 páginas

He publicado nuevos ejercicios de 2º Ingeniería Química: Extraccion.pdf

6 páginas

He publicado nuevos ejercicios de 2º Ingeniería Química: Destilacion.pdf

7 páginas

He publicado nuevos ejercicios de 2º Ingeniería Química: Reactores-quimicos.pdf

20 páginas

He publicado nuevos ejercicios de 3º Economía Ambiental: Bloque-2-economia.pdf

21 páginas

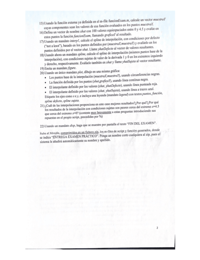
He publicado nuevos examenes de 2º Modelización Ambiental: Examenes-practico-3.pdf

2 páginas

He publicado nuevos examenes de 2º Modelización Ambiental: Examenes-matlab.pdf

4 páginas

He publicado nuevos ejercicios de 2º Modelización Ambiental: Ejercicios-practico-3-explicado.pdf

6 páginas

He publicado nuevos ejercicios de 3º Materiales y Medio Ambiente: Bloque-2-materiales.pdf

2 páginas

He publicado nuevos ejercicios de 3º Economía Ambiental: Bloque-2-economia.pdf

19 páginas

He publicado nuevos ejercicios de 3º Tecnologías para el tratamiento de aguas residuales: Ejercicios-bloque-2-aguas.pdf

18 páginas

He publicado nuevos ejercicios de 1º Física I: Ejercicios-de-fluidos.pdf

pdf

He publicado nuevos ejercicios de 1º Física I: Ejercicios-dinamica-de-sistemas-de-particulas.pdf

pdf

He publicado nuevos ejercicios de 1º Física I: Ejercicios-dinamica-de-una-particula.pdf

pdf

He publicado nuevos ejercicios de 1º Física I: Ejercicios-de-movimiento-relativo.pdf

pdf

He publicado nuevos ejercicios de 1º Física I: Ejercicios-cinematica.pdf

pdf

He publicado nuevos ejercicios de 1º Física I: Ejercicios-vectores.pdf

pdf

He publicado nuevos ejercicios de 2º Electrotecnia: Problemas-adicionales-segundo-bloque-2021.pdf

pdf

He publicado nuevos ejercicios de 2º Electrotecnia: Problemas-adicionales-segundo-bloque-2020.pdf

pdf