@LogicMinds

Estudios: Grado en Matemáticas (EHU) ...Mostrar más

Bio: Estudiante del grado de matematicás en la UPV/EHU Matematika Graduko UPV/EHU-ko ikaslea

83 Publicaciones

1.08k Interacciones

3 Seguidores

7 Siguiendo

Lista de publicaciones de LogicMinds

ejercicios

-

ARIKETA EBATZIAK

He publicado nuevos ejercicios de 2º Álgebra Lineal y Geometría II: ARIKETA EBATZIAK

1.-Enuntziatuak.pdf
1.-Ariketak.pdf
2.-Enuntziatuak.pdf
2.-Ariketak.pdf
3.-Enuntziatuak.pdf
3.-Ariketak.pdf

apuntes

-

TEORIA

He publicado nuevos apuntes de 2º Álgebra Lineal y Geometría II: TEORIA

1.Gaia-Zatidura-bektore-espazioak.pdf
2.-Gaia-Triangularizazioa-eta-Jordanen-forma-kanonikoa.pdf
3.-Gaia-Espazio-duala.pdf
5.-Gaia-Espazio-proiektiboa.pdf
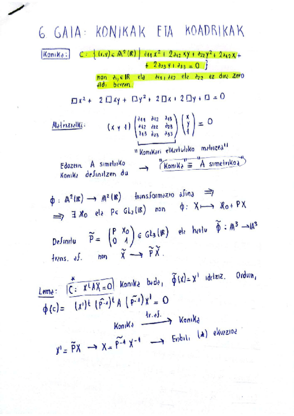
6.-Gaia-Konikak-eta-koadrikak.pdf

apuntes

-

THEORY (ENGLISH)

He publicado nuevos apuntes de 2º Matemática Discreta: THEORY (ENGLISH)

1-Basic-combinatorics.pdf
2-Combinatorial-identities.pdf
3-Generating-functions-and-recurrence-relations.pdf
4-Main-families-of-numbers.pdf
5-Graphs.pdf

apuntes

-

ARIKETA EBATZIAK

He publicado nuevos apuntes de 2º Cálculo Diferencial e Integral II: ARIKETA EBATZIAK

1.-Normak.pdf
2.-Limiteak.pdf
3.-Funtzio-linealak.pdf
4.-Diferentziala.pdf
5.-Katearen-erregela.pdf
6.-Muturrak.pdf

He publicado nuevos apuntes de 2º Cálculo Diferencial e Integral II: FOURIERREN-SERIEAK.pdf

1 página

He publicado nuevos apuntes de 2º Cálculo Diferencial e Integral II: KALKULU BEKTORIALA.pdf

8 páginas

apuntes

-

TEORIA OSOA

He publicado nuevos apuntes de 2º Cálculo de Probabilidades: TEORIA OSOA

1.-Gaia-Probabilitateen-kalkulua.pdf
2.-Gaia-Zorizko-aldagaiak.pdf
3.-Gaia-Zorizko-bektoreak.pdf
4.-Gaia-Itxaropen-matematikoa.pdf
5.-Gaia-Momentuak.pdf
6.-Gaia-Limite-zentralaren-teorema.pdf

apuntes

-

4. Gaia - GAINAZAL ERREGULARREN BARNE GEOMETRIA

He publicado nuevos apuntes de 2º Curvas y Superficies: 4. Gaia - GAINAZAL ERREGULARREN BARNE GEOMETRIA

4.-Teoria.pdf

apuntes

-

3. Gaia - KURBADURAK

He publicado nuevos apuntes de 2º Curvas y Superficies: 3. Gaia - KURBADURAK

3.-Teoria.pdf

apuntes

-

2. Gaia - GAINAZAL ERREGULARRAK

He publicado nuevos apuntes de 2º Curvas y Superficies: 2. Gaia - GAINAZAL ERREGULARRAK

2.-Teoria.pdf
2.-Adibideak.pdf