@LONELYUMI

Bio: Estudiante de doble grado de Ciencias Ambientales y Ciencias del Mar.

68 Publicaciones

2.92k Interacciones

5 Seguidores

0 Siguiendo

Lista de publicaciones de LONELYUMI

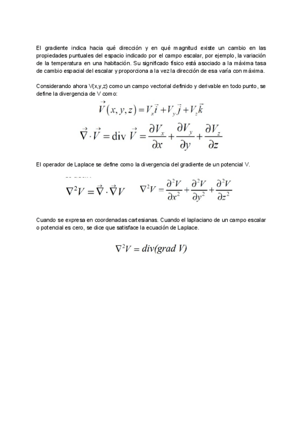
He publicado nuevos apuntes de 2º Geofísica y Tectónica: GEOTECApuntescompletos.pdf

65 páginas

He publicado nuevos apuntes de 2º Geofísica y Tectónica: PREGUNTAS-EXAMEN-GEOTEC.pdf

24 páginas

He publicado nuevos apuntes de 2º Técnicas Instrumentales de Análisis Ambiental: Posibles-preguntas-de-examen.pdf

14 páginas

He publicado nuevos apuntes de 2º Técnicas Instrumentales de Análisis Ambiental: ESQUEMAS-TECNICAS-INSTRUMENTALES-.pdf

15 páginas

He publicado nuevos examenes de 2º Ordenación del Territorio, Urbanismo y Medioambiente: PREGUNTAS EXAMEN.pdf

12 páginas

He publicado nuevos apuntes de 3º Gestión de Espacios y Recursos Naturales: APUNTES PARCIAL GERENA.pdf

51 páginas

He publicado nuevos apuntes de 2º Ecología: ECOLOGÍA TEMARIO COMPLETO.pdf

62 páginas

apuntes

-

TEMARIO SEGUNDO CUESTIONARIO 2019

He publicado nuevos apuntes de 3º Herramientas de Gestión Ambiental: TEMARIO SEGUNDO CUESTIONARIO 2019

TEMA 3_ MARCO LEGAL E INSTITUCIONAL.pdf
TEMA 4_ ANÁLISIS DEL PROYECTO.pdf
TEMA 5_ ESTUDIO DEL MEDIO.pdf
TEMA 1_ INTRODUCCIÓN A LAS HERRAMIENTAS DE GESTIÓN AMBIENTAL.pdf
TEMA 2_ EVALUACIÓN DE IMPACTO AMBIENTAL COMO HERRAMIENTA DE GESTIÓN AMBIENTAL (1).pdf
PREGUNTAS SEGUNDO CUESTIONARIO (1).pdf

He publicado nuevos apuntes de 3º Herramientas de Gestión Ambiental: PREGUNTAS SEGUNDO CUESTIONARIO (1).pdf

4 páginas

He publicado nuevos apuntes de 3º Evaluación de la Contaminación Ambiental: APUNTES ECA - PARTE LAURA- RAFA Y PINTO.pdf

50 páginas

He publicado nuevos apuntes de 3º Evaluación de la Contaminación Ambiental: ECA. APUNTES PARTE LOLI.pdf

31 páginas

He publicado nuevos apuntes de 1º Zoología y Botánica: ZOOLOGIA COMPLETA PFD .pdf

44 páginas

Todo lo que se da en prácticas puede entrar en el examen final.

13 páginas

He publicado nuevos apuntes de 2º Técnicas Instrumentales de Análisis Ambiental: TEMA 13_ ANÁLISIS ATMOSFÉRICO.pdf

3 páginas

He publicado nuevos apuntes de 2º Técnicas Instrumentales de Análisis Ambiental: TEMA 12_ ANÁLISIS DIRECTO DE MUESTRAS SÓLIDAS.pdf

4 páginas

apuntes

-

APUNTES SOCIEDAD

He publicado nuevos apuntes de 2º Medioambiente Economía y Sociedad: APUNTES SOCIEDAD

TEMA 1_ ANTROPOCENTRISMO Y BIOCENTRISMO.pdf
TEMA 2_ ANÁLISIS Y EVALUACION DEL MEDIO NATURAL Y SOCIAL DESDE UNA PERSPECTIVA SISTEMICA_ EL PAISAJE COMO EXPRESIÓN INTEGRADORA.pdf
TEMA 3_ FACTORES FUNDAMENTALES DE LAS RELACIONES ENTRE LOS SERES HUMANOS Y SU ENTORNO.pdf

apuntes

-

APUNTES ECONOMÍA

He publicado nuevos apuntes de 2º Medioambiente Economía y Sociedad: APUNTES ECONOMÍA

TEMA 5_ LA ECONOMÍA.pdf
TEMA 6_ LOS MERCADOS.pdf
TEMA 7_ LA PRODUCCIÓN Y LOS COSTES.pdf

apuntes

-

TEMAS 11-17 TERCER PARCIAL

He publicado nuevos apuntes de 2º Ecología: TEMAS 11-17 TERCER PARCIAL

TEMA 11_ PROPIEDADES DE LAS POBLACIONES.pdf
TEMA 12_ MODELOS DE CRECIMENETO DE TIEMPO CONTINUO.pdf
TEMA 13_ ESTRUCTURA DE LAS POBLACIONES.pdf
TEMA 14_ INTERACCIONES ENTRE ESPECIES.pdf
TEMA 15_ INTERACCIONES DEPREDADOR-PRESA.pdf
TEMA 16_ ESTRUCTURA DE LAS COMUNIDADES.pdf

apuntes

-

BLOQUE AGUAS COMPLETO 2018

He publicado nuevos apuntes de 2º Técnicas Instrumentales de Análisis Ambiental: BLOQUE AGUAS COMPLETO 2018

TEMA 1_ TÉCNICAS FISICO-QUÍMICAS.pdf
TEMA 2_ ESPECTROMETRÍA UV-VISIBLE.pdf
TEMA 3_ CROMATOGRAFÍA IÓNICA.pdf
TEMA 4_ CROMATOGRAFÍA DE GASES.pdf
TEMA 5_ CROMATOGRAFÍA LÍQUIDA.pdf
TEMA 6_ TÉCNICAS LUMINISCENTES.pdf