@Lorenaa12

40 Publicaciones

922 Interacciones

0 Seguidores

0 Siguiendo

Lista de publicaciones de Lorenaa12

apuntes

-

AMPLIACION

TODO

Aplicaciones-EDiferenciales-orden1-v3.pdf
Prob-AM-Tema3.pdf
Prob-AM-Tema5.pdf
Prob-AM-Tema6.pdf
Problemas-AM-Octubre-2016-Tema1.pdf
Problemas-AM-Octubre-2016-Tema2.pdf

apuntes

-

ELECTROTECNIA

He publicado nuevos apuntes de 2º Electrónica y automática de control aplicada al Buque: ELECTROTECNIA

1617.ET.T03.pdf
1617.ET.T04.pdf
1617.ET.T05.pdf
1617.ET.T06.pdf
1617.ET.T07.pdf
1617.ET.T08.pdf

apuntes

-

AMPLIACION

TEMARIO

EDiferenciales-orden1.pdf
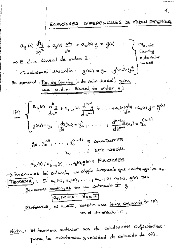
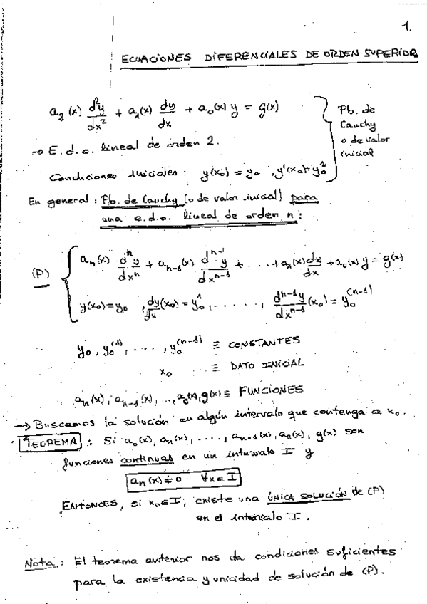
EDiferenciales-orden-superior.pdf
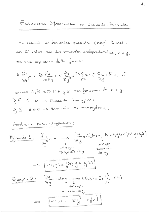
Introduccion-EDP.pdf
Juntas-MDF-dimension2.pdf
Sistemas-EDiferenciales.pdf
v2-Introduccion-EDiferenciales.pdf

apuntes

-

AMPLIACION

EXAMENES

Examen-AM-TODO-Enero2016.pdf
Examen-AM-TODO-Enero2017.pdf
Examen-AM-TODO-Junio2016.pdf
Examen-AM-TODO-Junio2017.pdf
Examen-AM-TODO-Septiembre2016.pdf
Examen-AM-TODO-Septiembre2017 - copia.pdf

apuntes

-

ELECTROTECNIA

He publicado nuevos apuntes de 2º Electrotecnia Aplicada Al Buque: ELECTROTECNIA

1617.ET.P01.Solucion.pdf
1617.ET.P02.Solucion.pdf
1617.ET.P03.Solucion.Clase.pdf
1617.ET.P04.Solucion.pdf
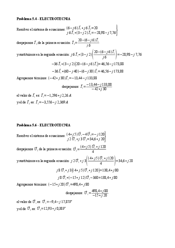
1617.ET.P05. 5.4 y 5.6.pdf
1617.ET.P05.Solucion.pdf

apuntes

-

AMPLIACION

PARCIALES

Examen-AM-TODO-Enero2016.pdf
Examen-AM-TODO-Enero2017.pdf
Examen-AM-TODO-Junio2016.pdf
Prueba-progreso-resolucion-noviembre-2016.pdf
Prueba-progreso-resuelta.pdf

He publicado nuevos apuntes de 2º Electrónica y automática de control aplicada al Buque: 1617.ET.T01.Clase.pdf

78 páginas