@LUC14_010

Estudios: ESO ...Mostrar más

3 Publicaciones

35 Interacciones

1 Seguidores

0 Siguiendo

Lista de publicaciones de LUC14_010

He publicado nuevos examenes de 1º Matemáticas: solucion-trimestral-1ev-mates-2-eso-1.pdf

4 páginas

He publicado nuevos examenes de 1º Física y Química: Examen-T.7-y-8-FyQ-3oESO.pdf

2 páginas

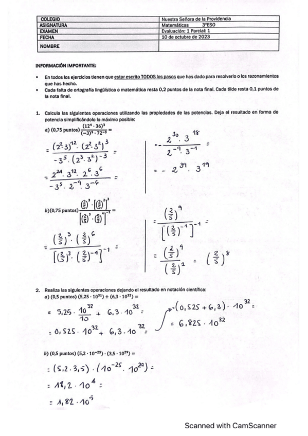
He publicado nuevos examenes de 1º Matemáticas: Primera-evaluacion-1o-parcial-3oESO.pdf

4 páginas