@Luc21_

19 Publicaciones

196 Interacciones

1 Seguidores

0 Siguiendo

Lista de publicaciones de Luc21_

ejercicios

-

EJERCICIOS MÉTODOS DE INVESTIGACIÓN EDUCATIVA

He publicado nuevos ejercicios de 1º Métodos de Investigación Educativa: EJERCICIOS MÉTODOS DE INVESTIGACIÓN EDUCATIVA

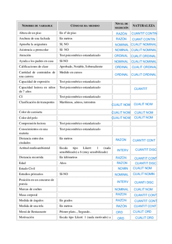
Actividad-Clasificacion-de-variables-1.pdf
Actividad-Clasificacion-de-variables.pdf
Actividad-disenoscasos-corregidos.pdf
ActividadClasificaciondisenos1.pdf
Practica-Definicion-del-diseno-de-investigacion.pdf

He publicado nuevos apuntes de 2º Musica en Educacion Primaria: TEORIA-MUSICA.pdf

4 páginas

He publicado nuevos examenes de 2º Fundamentos y Didactica de Fisica: CONTENIDO-DE-EXAMEN-QUE-PUEDE-ENTRAR.pdf

2 páginas

He publicado nuevos examenes de 2º Fundamentos y Didactica de Fisica: MODELO-DE-EXAMEN.pdf

1 página

He publicado nuevos examenes de 2º Fundamentos y Didactica de Fisica: EXAMEN-FEBR-y-sept-2016-4.pdf

2 páginas

He publicado nuevos apuntes de 2º Fundamentos y Didactica de Fisica: CONCEPCIONES-ALTERNATIVAS-CIENCIA-Y-PROPUESTAS-DE-ACTIVIDADES.pdf

5 páginas

apuntes

-

APUNTES DIDÁCTICA DE LA FÍSICA

He publicado nuevos apuntes de 2º Fundamentos y Didactica de Fisica: APUNTES DIDÁCTICA DE LA FÍSICA

ENERGIA-Y-TRABAJO.pdf
APUNTES-MIDIENDO-LA-REALIDAD-A-TRAVES-DE-LA-IMAGEN.pdf
TEMA-2-ciencia-medidas-magnitudes-y-SI.pdf

He publicado nuevos apuntes de 2º Educación Física y su Didáctica: RESUMEN-JUEGOS-TRADICIONALES-EF.pdf

3 páginas

He publicado nuevos apuntes de 1º Teoría de la Educación: RESUMEN-EXAMEN-HOMO-ADULESCENS.pdf

24 páginas