@LucasFlores

14.17 € • 1.86k EXP

3 Publicaciones

314 Interacciones

0 Seguidores

0 Siguiendo

Lista de publicaciones de LucasFlores

He publicado nuevos apuntes de 2º Bases Biológicas de la Actividad Física y el Deporte: Bases de Nutrición y Nutrición Deportiva: examen-nutri.pdf

18 páginas

He publicado nuevos examenes de 2º Bases Biológicas de la Actividad Física y el Deporte: Fisología General y del Ejercicio Físico: EXAMEN-LARGO-fisio.pdf

29 páginas

He publicado nuevos trabajos de 1º Bases Sociales de la Actividad Física y del Deporte: Historia del Deporte: TREBALL-MONOGRAFIC.pdf

9 páginas

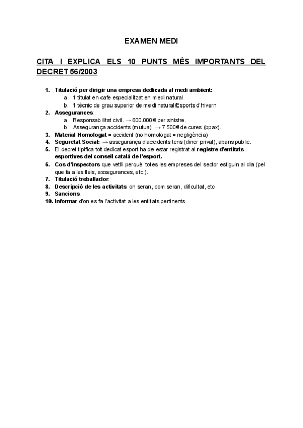
He publicado nuevos examenes de 2º Actividad Física en el Tiempo de Ocio: Deporte, Ocio y Recreación: EXAMEN-MEDI-NATURAL-2n-CAFE.pdf

9 páginas

He publicado nuevos apuntes de 2º Bases Biológicas de la Actividad Física y el Deporte: Anatomía Funcional y Biomecánica: Apunts-Generals-Anatomia-PARCIAL-1-Apuntes.pdf

23 páginas

He publicado nuevos apuntes de 1º Bases Sociales de la Actividad Física y del Deporte: Sociología: Sociologia-resumen-Examen-1.pdf

2 páginas

apuntes

-

1r Ciencies Basiques

Apuntes y preguntas de examen

APUNTES-PARCIAL-1.pdf
APUNTES-PARCIAL-2.pdf