@lucia_soga

111 Publicaciones

6.03k Interacciones

2 Seguidores

0 Siguiendo

Lista de publicaciones de lucia_soga

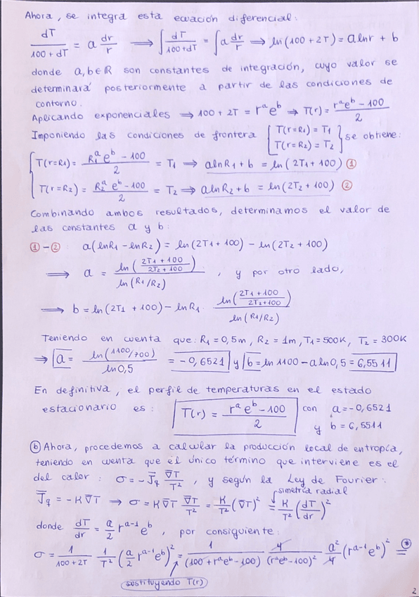
He publicado nuevos ejercicios de 3º Termodinámica del No Equilibrio: Entregable-2-resuelto-TdNE.pdf

pdf

He publicado nuevos ejercicios de 3º Termodinámica del No Equilibrio: Entregable-1-resuelto-TdNE.pdf

3 páginas

He publicado nuevos apuntes de 3º Física del Estado Sólido: Formulario-COMPLETO-Solido.pdf

4 páginas

He publicado nuevos ejercicios de 3º Física del Estado Sólido: Entregable-3-Solido.pdf

2 páginas

He publicado nuevos ejercicios de 3º Física del Estado Sólido: Entregable-2-Solido.pdf

3 páginas

He publicado nuevos ejercicios de 3º Física del Estado Sólido: Entregable-1-Solido.pdf

2 páginas

He publicado nuevos ejercicios de 3º Física de la Tierra: Entregable-sismologia.pdf

2 páginas

He publicado nuevos ejercicios de 3º Física de la Tierra: Entregable-Gravimetria.pdf

2 páginas

He publicado nuevos ejercicios de 3º Física de la Tierra: Entregable-Geomagnetismo.pdf

1 página

He publicado nuevos ejercicios de 3º Geometría Diferencial y Cálculo Tensorial: Problemas-COMPLETOS-RESUELTOS-GDyCT.pdf

34 páginas

He publicado nuevos apuntes de 3º Geometría Diferencial y Cálculo Tensorial: formulario-GDyCT.pdf

2 páginas

He publicado nuevos apuntes de 3º Geometría Diferencial y Cálculo Tensorial: Apuntes-GDyCT.pdf

41 páginas

He publicado nuevos apuntes de 4º INTERACCIÓN RADIACIÓN-MATERIA: Apuntes-COMPLETOS-IRM.pdf

43 páginas

He publicado nuevos apuntes de 4º Física Nuclear: Entregable-3-Nuclear.pdf

6 páginas

He publicado nuevos practicas de 4º Física Nuclear: Informe-COINCIDENCIAS.pdf

8 páginas

He publicado nuevos practicas de 4º Física Nuclear: Informe-ALFA.pdf

7 páginas

He publicado nuevos practicas de 4º INTERACCIÓN RADIACIÓN-MATERIA: Informe-Dist-Poisson.pdf

15 páginas

He publicado nuevos ejercicios de 4º INTERACCIÓN RADIACIÓN-MATERIA: Ejs-Tema-4-IRM.pdf

12 páginas

He publicado nuevos ejercicios de 4º INTERACCIÓN RADIACIÓN-MATERIA: Ejs-Tema-3--entregables-IRM.pdf

12 páginas

He publicado nuevos ejercicios de 4º INTERACCIÓN RADIACIÓN-MATERIA: Ejs-Tema-1-y-2--entregable-IRM.pdf

23 páginas