@luciaalpzzz_

Estudios: Grado en Ingeniería Mecánica (UPV) ...Mostrar más

19 Publicaciones

354 Interacciones

2 Seguidores

2 Siguiendo

Lista de publicaciones de luciaalpzzz_

apuntes

-

APUNTES DE TODOS LOS TEMAS

He publicado nuevos apuntes de 1º Empresa: APUNTES DE TODOS LOS TEMAS

T1.pdf
T2.pdf
T3.pdf
TEMA-8-DECISIONES-FINANCIERAS.pdf
TEMA-9-El-subsistema-de-operaciones.pdf
TEMA-6-Analisis-de-los-estados-financieros.pdf

He publicado nuevos apuntes de Matemáticas II: GEOMETRIARESUMEN.pdf

7 páginas

He publicado nuevos apuntes de Lengua Castellana y Literatura II: ESQUEMAAUTORESCOMENTARIOLITERARIO.pdf

2 páginas

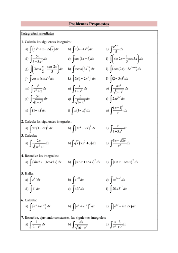
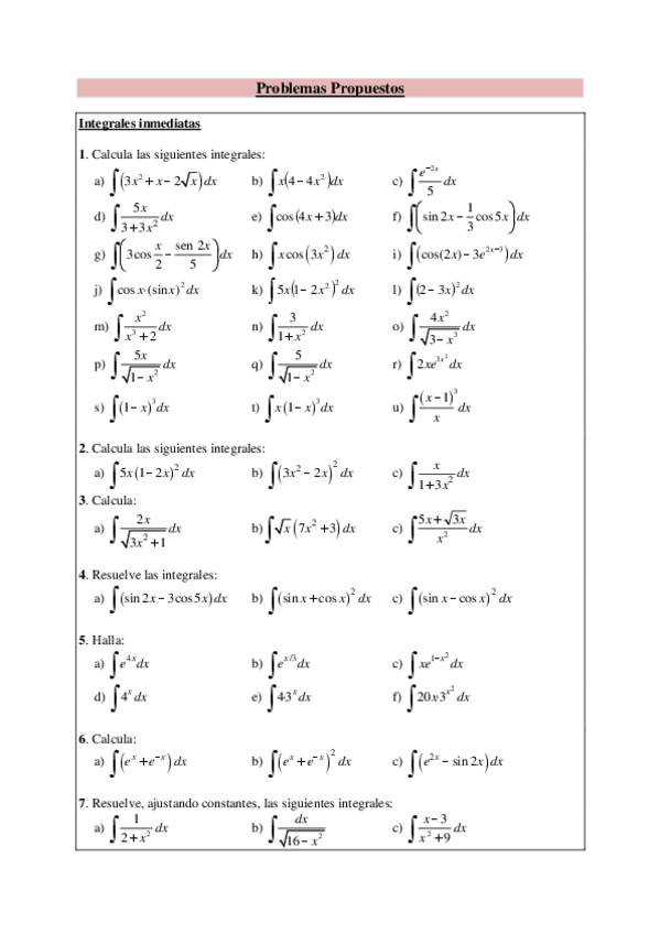
He publicado nuevos ejercicios de Matemáticas II: ejercicios-aprender-integrar.pdf

21 páginas

He publicado nuevos ejercicios de Matemáticas II: Tabla-y-ejercicios-de-integrales-indefinidas.pdf

6 páginas

He publicado nuevos ejercicios de Matemáticas II: Hoja-de-derivadas.pdf

2 páginas

He publicado nuevos ejercicios de Matemáticas II: ejercicios-de-limites.pdf

3 páginas

He publicado nuevos examenes de Dibujo técnico II: EXAMENES-DIBUJO-TECNICO-EVAU-JUNTOS.pdf

46 páginas

He publicado nuevos apuntes de Historia de España: EPIGRAFE-4-BLOQUE1.pdf

2 páginas

Holaa!! Acabo de subir unos apuntes sobre los epígrafes del primer bloque de historia de españa o minitemas, de momento solo he subido dos pero según los vaya acabando subiré el resto a excepción del uno :)

He publicado nuevos apuntes de Historia de España: EPIGRAFE-3-BLOQUE-1.pdf

2 páginas

He publicado nuevos apuntes de Historia de España: EPIGRAFE-2-BLOQUE-1.pdf

2 páginas