@Luciagreenn

Estudios: Grado en Física (UCO) ...Mostrar más

Bio: Voy a subir ejercicios resueltos paso a paso de algunas asignaturas de 1 de Física, espero que os sirva :)

5 Publicaciones

280 Interacciones

0 Seguidores

3 Siguiendo

Lista de publicaciones de Luciagreenn

He publicado nuevos apuntes de 1º Fundamentos de Física I: Boletin-1-ejercicios-resueltos.pdf

17 páginas

He publicado nuevos apuntes de 1º Métodos Matemáticos I: TEMA-4-EJERCICIOS-RESUELTOS-PASO-A-PASO-.pdf

15 páginas

He publicado nuevos apuntes de 1º Métodos Matemáticos I: TEMA-3-EJERCICIOS-RESUELTOS-PASO-A-PASO-1.pdf

8 páginas

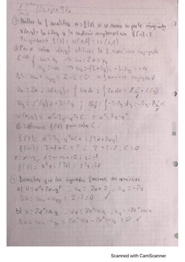
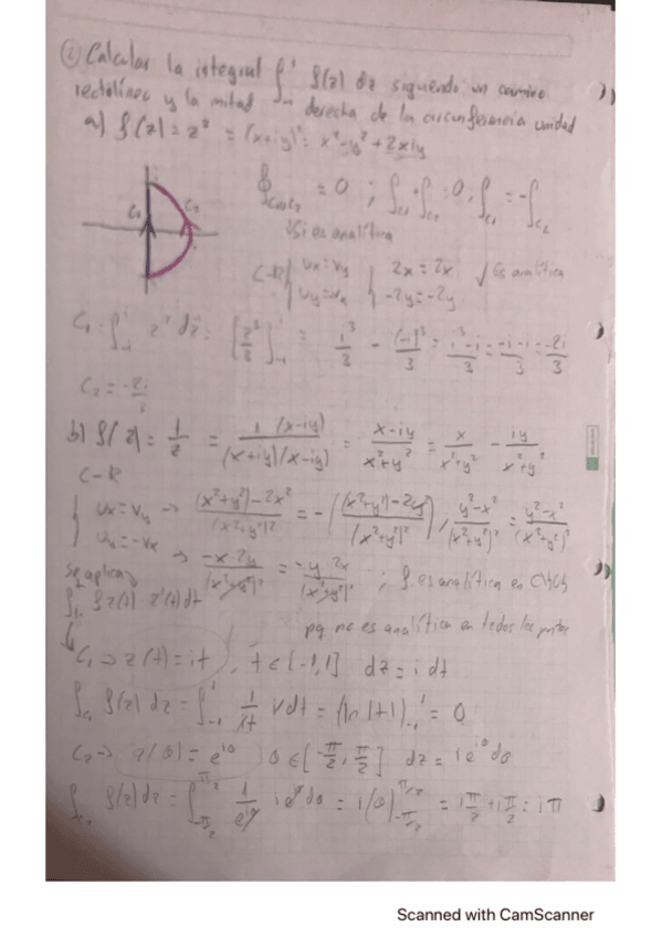
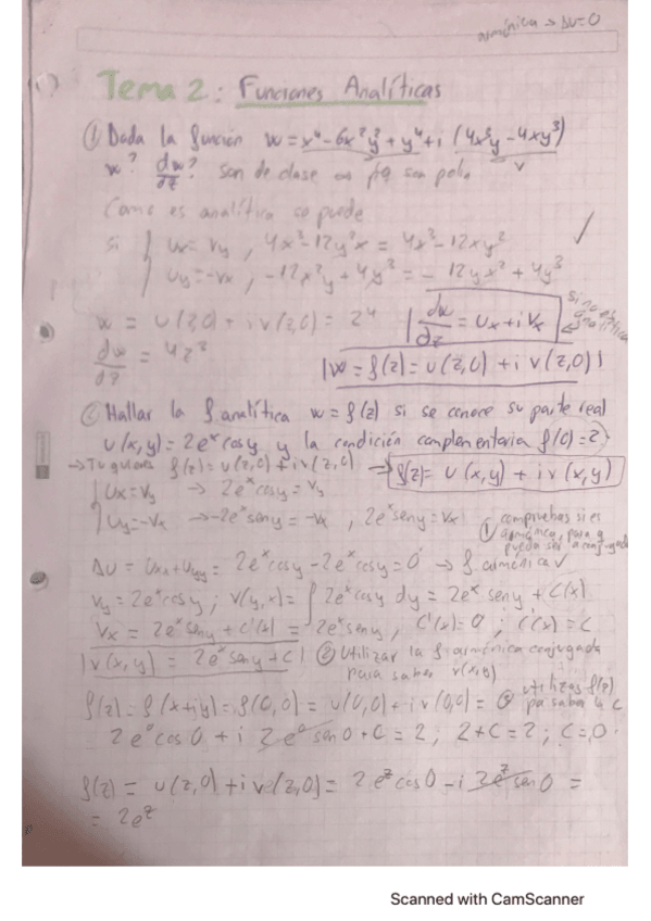
He publicado nuevos apuntes de 1º Métodos Matemáticos I: TEMA-2-EJERCICIOS-RESUELTOS-PASO-A-PASO-.pdf

8 páginas

apuntes

-

TEMA 1 EJERCICIOS RESUELTOS PASO A PASO

He publicado nuevos apuntes de 1º Métodos Matemáticos I: TEMA 1 EJERCICIOS RESUELTOS PASO A PASO

TEMA-1-EJERCICIOS-RESUELTOS-PASO-A-PASO-.pdf