@LuciaMop

Estudios: Grado en Matemáticas (UAL) ...Mostrar más

117 Publicaciones

1.67k Interacciones

8 Seguidores

1 Siguiendo

Lista de publicaciones de LuciaMop

He publicado nuevos ejercicios de 3º Estadística Matemática: Relacion-5-resuelta.pdf

16 páginas

He publicado nuevos ejercicios de 3º Estadística Matemática: Relacion-4-resuelta.pdf

16 páginas

He publicado nuevos practicas de 1º Programación de computadores: SESION14-PC.pdf

8 páginas

He publicado nuevos examenes de 3º Geometría Diferencial de Curvas y Superficies: Primer-parcial-1.2..pdf

1 página

He publicado nuevos examenes de 3º Geometría Diferencial de Curvas y Superficies: Parcial-1-2026.pdf

1 página

He publicado nuevos practicas de 1º Programación de computadores: SESION-13-PC.pdf

10 páginas

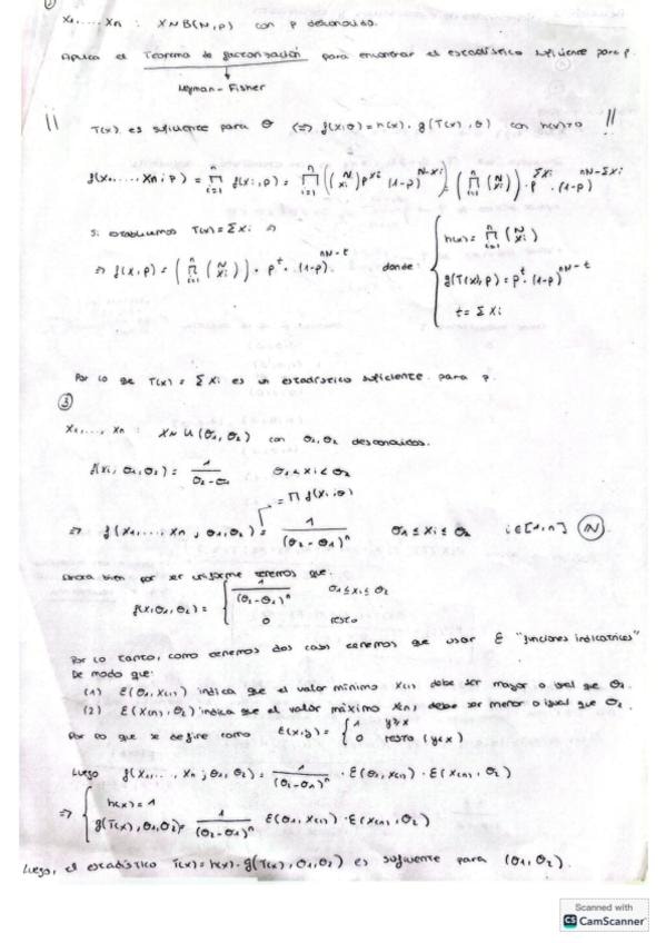
He publicado nuevos examenes de 3º Estadística Matemática: Parcial-1-2026.pdf

1 página

examenes

-

Exámenes

He publicado nuevos examenes de 3º Estadística Matemática: Exámenes

exordinario5.pdf
PruebaParte12.pdf
PruebaParte11.pdf
Examenpapel.pdf

He publicado nuevos ejercicios de 3º Estadística Matemática: Relacion-3-resuelta.pdf

10 páginas

He publicado nuevos ejercicios de 3º Estadística Matemática: Relacion-2-resuelta.pdf

20 páginas

He publicado nuevos practicas de 1º Programación de computadores: SESION-12-PC.pdf

5 páginas

He publicado nuevos practicas de 1º Programación de computadores: SESION-11-PC.pdf

11 páginas

He publicado nuevos apuntes de 3º Economía Financiera: Tema-2-E.F..pdf

15 páginas

He publicado nuevos apuntes de 3º Economía Financiera: Tema-1.pdf

10 páginas

He publicado nuevos ejercicios de 3º Estadística Matemática: Relacion-1-resuelta.pdf

8 páginas

He publicado nuevos practicas de 1º Programación de computadores: SESION-10-PC.pdf

6 páginas

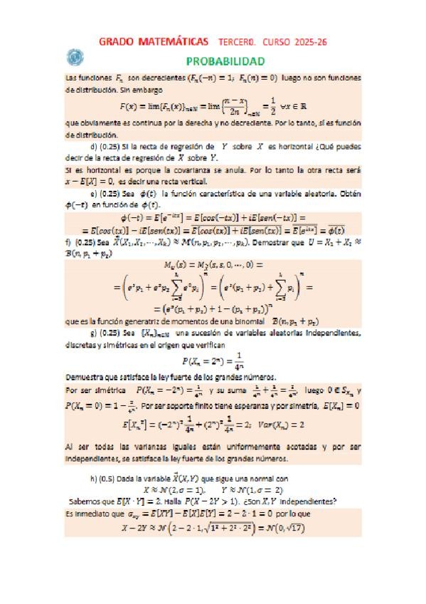
He publicado nuevos examenes de 3º Probabilidad: Ordinaria-2026-resuelta.pdf

11 páginas

He publicado nuevos examenes de 2º Economía Mundial: Extraordinaria-2026.pdf

1 página

He publicado nuevos practicas de 1º Programación de computadores: SESION09-PC.pdf

7 páginas

examenes

-

Exámenes 2024-2025

He publicado nuevos examenes de 3º Probabilidad: Exámenes 2024-2025

PRUEBA-EXTRAORDINARIA-24-25-resuelta.pdf
PRUEBA-REPESCA-no-1-24-25-resu.pdf
PRUEBA-DE-CLASE-no-1-24-25-R.pdf
PRUEBA-Repesca-no-2-24-25-resu.pdf
PRUEBA-DE-CLASE-no-2-24-25-resu1.pdf