@LuuuOR

Estudios: Bachillerato ...Mostrar más

36 Publicaciones

425 Interacciones

16 Seguidores

6 Siguiendo

Lista de publicaciones de LuuuOR

Apuntes de Gramática sobre los relativos, pasiva, report speech, modals, conditional, infinives, gerund. Más otros tips para sacar un 10 en el examen de PAU 2026.

10 páginas

Tema programación lineal de Matemáticas aplicadas a las CCSS.

5 páginas

Apuntes completos de geometría de 2 bachillerato con ejercicios de ejemplo +tipos de ejercicios de PAU.

27 páginas

TEORÍA DE LA SINTAXIS DE SEGUNDO DE BACHILLERATO. Oraciones compuestas: subordinadas sustantivos, de relativo, adverbial; coordinadas. Nexos y frases de ejemplos que tienen truco.

7 páginas

Apuntes bloque ácido-base de químuca 2°BACH, más actividades complementaria tipo PAU.

17 páginas

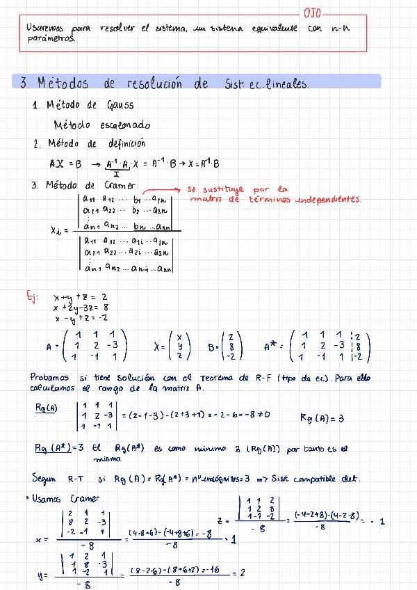
Tema de álgebra de 2°BACH Mates II. Ecuaciones lineales. Método de Rouchê-Frobeniuz, sistemas compatibles, incompatibles, problemas, etc

4 páginas

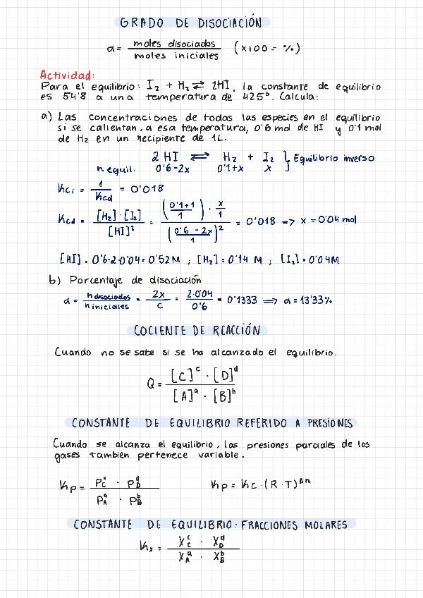
Apuntes sobre equilibrio químico. Ley de Le Chatelier, constante de equilibrio, presiones parciales, grado de disociación.

5 páginas

Resumen sobre los tipos de mutaciones y sus causas/consecuencias del temario de 2do de bachillerato de salud.

2 páginas

Resumenes sobre la formulación inorgánica para recordar los aspectos más importantes en 2°BACH

2 páginas

Resúmenes modo esquema sobre TODO en contenido de poesía (literatura) que entra en PAU 2026 Andalucía.

9 páginas

Apuntes sobre el metabolismo celular de Biología 2° BACHILLERATO Andalucía. Catabolismo de glúcidos y ácidos grasos. Anabolismo: fotosíntesis y quimiosíntesis.

5 páginas

Resúmenes modo esquema para selectividad Biología en la Comunide Andalucía 2026. Apuntes sobre la traducción del ARNm.

3 páginas

Transcripción. Genética molecular. Apuntes 2°BACH

2 páginas

Apuntes esquemáticos de la replicación. TEMA DE GENÉTICA MOLECULAR biología 2°BACH.

1 página

Libreta completa del bloque de análisis de Matemáticas II. Incluye integrales, estudio de una función, optimización, actividad de selectividad resueltas.

28 páginas

Apuntes sobre el tema de Cinética Química con ejemplos

3 páginas

Actividades revisadas en clase tipo comentarios de texto para la PAU 2026. Apartado de Documentos Tipo PAU (selectividad). BLOQUE 5 y 6

6 páginas

Apuntes sobre la célula, aparatos, TEJIDOS, tejido conjuntivo, muscular, oseo, sanguíneo, epitelial, adiposo, nervioso

14 páginas

Resumen/Esquema de la narrativa española y todos sus autores + obras que caen el PAU 2026.

6 páginas

apuntes

-

Aparatos y sistemas

Apuntes de aparatos y sistemas de 1 de Bachillerato. Definición, funciones de aparatos y sistemas y sus respectivas patologías asociadas

Sistema-de-Coordinacion.pdf
Aparato-digestivo.pdf
Aparato-respiratorio.pdf
Aparato-cardiovascular.pdf
Aparato-Locomotor.pdf