@Lyartist

Estudios: Grado en Biología (UGR) ...Mostrar más

31 Publicaciones

1.59k Interacciones

3 Seguidores

1 Siguiendo

Lista de publicaciones de Lyartist

ejercicios

-

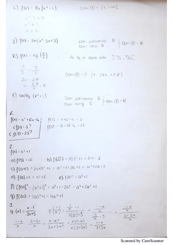
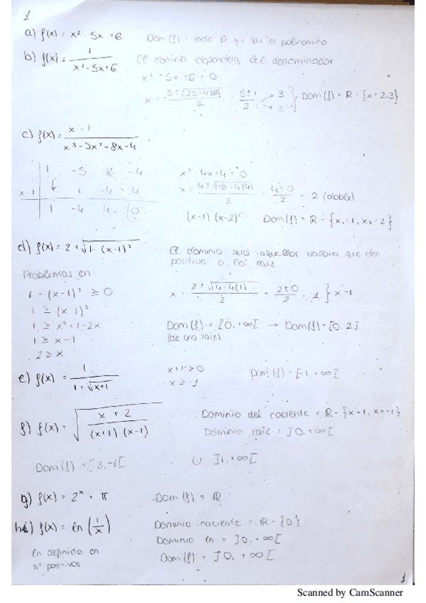
Soluciones ejercicios grupo C 2019

Estos son todos los ejercicios que hice para el exámen de enero, suerte en la recuperación!

Problemas4.3.pdf
Problemas1.7.pdf
Problemas2.0.pdf
Problemas4.4_1.pdf
Problemas3.0.pdf
Problemas1.2.pdf

Resumen propio del tema 1 al 11

22 páginas

He publicado nuevos examenes de 1º Matemáticas: New Doc 2019-02-11 18.04.28.pdf

2 páginas

Estos son los ejercicios que hice para el exámen. Incluye del libro de Piskunov ''Cálculo diferencial e integral''

37 páginas

He publicado nuevos apuntes de 1º Química: New Doc 2019-02-10 18.02.24.pdf

14 páginas

Resumen/esquema de los apuntes del profesor

17 páginas

He publicado nuevos examenes de 1º Física: WhatsApp Image 2019-02-08 at 19.20.00.jpeg

Imagen

He publicado nuevos examenes de 1º Geología: WhatsApp Image 2019-02-08 at 19.19.04.jpeg

Imagen