@Majo27

Estudios: Grado en Economía (UGR) ...Mostrar más

14 Publicaciones

143 Interacciones

0 Seguidores

0 Siguiendo

Lista de publicaciones de Majo27

He publicado nuevos apuntes de 1º Economía Política: TEMA-6-Resumen.pdf

11 páginas

He publicado nuevos apuntes de 1º Economía Política: TEMA-4-5-Resumen.pdf

4 páginas

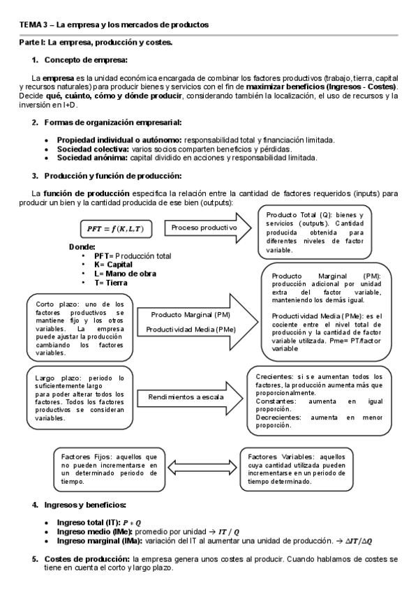
He publicado nuevos apuntes de 1º Economía Política: TEMA-3-Resumen.pdf

5 páginas

He publicado nuevos apuntes de 1º Economía Política: TEMA-2-Resumen.pdf

7 páginas

He publicado nuevos apuntes de 1º Economía Política: TEMA-1-Resumen.pdf

7 páginas

Resumen del Tema 5

4 páginas

Resumen del Tema 6

4 páginas

Resumen del Tema 4

3 páginas

Resumen del Tema 3

4 páginas

Resumen del Tema 2

3 páginas

Resumen del Tema 1

3 páginas

Resumen del Tema 6 (práctica)

3 páginas

Resumen del tema 4

2 páginas

Resumen del tema 8

6 páginas