@mangou

Estudios: Grado en Ingeniería Química (UPM) ...Mostrar más

63 Publicaciones

1.96k Interacciones

0 Seguidores

0 Siguiendo

Lista de publicaciones de mangou

He publicado nuevos apuntes de 3º industria de procesos químicos: Problemas-organica-parte-2-20252026.pdf

9 páginas

He publicado nuevos apuntes de 3º industria de procesos químicos: Rutas-de-Sintesis.pdf

3 páginas

He publicado nuevos examenes de 3º Mecánica de Fluidos: ejercicios-hechos-de-todo.pdf

80 páginas

ejercicios

-

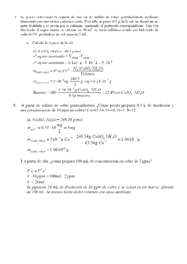
Analisis Quimico

He publicado nuevos ejercicios de 2º Análisis Químico e Instrumental: Analisis Quimico

Ejercicios-2223.pdf
Ejercicios-2324.pdf
Formulario-Quimico-Examen-2.pdf

examenes

-

Analisis Instrumental

He publicado nuevos examenes de 2º Análisis Químico e Instrumental: Analisis Instrumental

Preguntas-Largas-Contestadas-Examenes-Moodle.pdf
Enunciados-Preguntas-Largas-Examenes-Moodle.pdf
Enunciados-Preguntas-Cortas-Examenes-Moodle.pdf
Solucion-Preguntas-Cortas-Examenes-Moodle.pdf
Explicacion-y-estudio-preguntas-cortas-examenes-moodle.pdf
Preguntas-cortas-solucion-isomeria-,-rayos-espectroscopia-de-masas.pdf

otros

-

Examen 3 : ejers , apuntes y formularios

He publicado nuevos otros de 3º Reactores Químicos: Examen 3 : ejers , apuntes y formularios

Formulario-7.1. Catalisis y catalizadores.pdf
Formulario-general.pdf
Ejers-T2-5.2--Control-de-atapas-quimicas.pdf
Ejers-T3-7.2--TM-Externo.pdf
Ejers-T4-5.2--TM-Interno.pdf
Ejers-T1-7.1--Catalisis-y-catalizadores.pdf

otros

-

Examen 2 : ejers , apuntes y formularios

He publicado nuevos otros de 3º Reactores Químicos: Examen 2 : ejers , apuntes y formularios

Apuntes-y-ejer-Examen-2.pdf
Formulario-general 2.pdf
T3-Formulario-Flujo-no-ideal.pdf
Formulario-general 1.pdf
Ejers-T2--Estabilidad-Termica.pdf
Ejers-T3--Reacciones-MUltiples.pdf

otros

-

Examen 1 : ejers , apuntes y formularios

He publicado nuevos otros de 3º Reactores Químicos: Examen 1 : ejers , apuntes y formularios

Repasos-Examen-1.pdf
Apuntes-y-ejers-Examen-1.pdf
Ejers-T1-Reactores-Discontinuos-Batch.pdf
Ejers-T2-Reactores-Continuos-PFR-y-CSTR.pdf

He publicado nuevos apuntes de 3º Reactores Químicos: Tema-6-apuntes.Desactivacion de catalizadores.pdf

3 páginas

trabajos

-

Acciones coperativas

He publicado nuevos trabajos de 3º Reactores Químicos: Acciones coperativas

Acc-coop-2.pdf
Acc-coop-1.pdf
Acc-Coop-3-Discriminacion-de-modelos-cineticos.pdf

He publicado nuevos ejercicios de 3º Organización Industrial: Ejercicios-Examen-2.pdf

8 páginas

He publicado nuevos ejercicios de 2º Química Inorgánica y Orgánica: Quimica-inorganica-Ejercicios.pdf

11 páginas

He publicado nuevos apuntes de 2º Química Inorgánica y Orgánica: Notas-Formulacion-nombres-raros.pdf

2 páginas

He publicado nuevos ejercicios de 2º Química Inorgánica y Orgánica: Quimica-organica-Boletines-1-6.pdf

38 páginas

He publicado nuevos examenes de 2º Experimentación en Ingeniería Química I: Preg-teoricas.pdf

5 páginas