@Manu_d8

9 Publicaciones

410 Interacciones

2 Seguidores

1 Siguiendo

Lista de publicaciones de Manu_d8

He publicado nuevos ejercicios de 2º Ingeniería Térmica: Ingenieria-termica-Interpolacion.pdf

1 página

He publicado nuevos ejercicios de 2º Ingeniería Térmica: Ingenieria-termica-Ejercicios-resueltos-Tema-2.3.pdf

2 páginas

He publicado nuevos apuntes de 2º Ingeniería de Control I: Modelado-de-sistemas-fisicos.pdf

4 páginas

He publicado nuevos apuntes de 2º Ingeniería de Control I: Funcion-de-transferencia.pdf

1 página

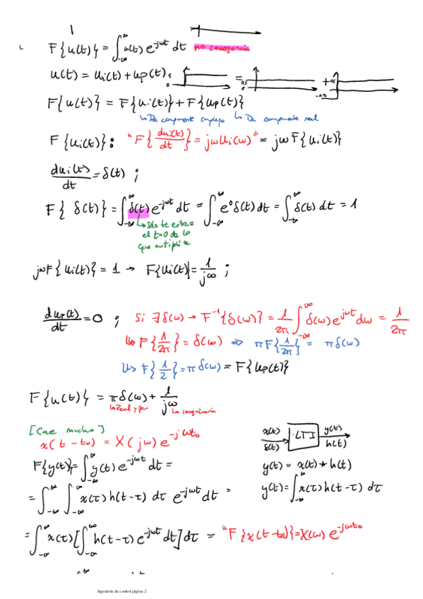
He publicado nuevos apuntes de 2º Ingeniería de Control I: Fourier-y-laplace-II.pdf

7 páginas

He publicado nuevos apuntes de 2º Ingeniería de Control I: Temas-4-5-6-7.pdf

18 páginas

He publicado nuevos apuntes de 2º Ingeniería de Control I: Temas-Segundo-Parcial.pdf

24 páginas

He publicado nuevos ejercicios de 2º Ingeniería Térmica: Tema 2.2 Resueltos.pdf

3 páginas

He publicado nuevos ejercicios de 2º Ingeniería Térmica: Tema 2.1 Resueltos.pdf

3 páginas