@marama

162 Publicaciones

9.02k Interacciones

14 Seguidores

0 Siguiendo

Lista de publicaciones de marama

apuntes

-

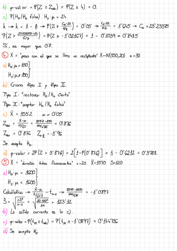
Relación T2 ejercicios resueltos

(T.1,2,3) Corregidos en clase

Relacion-resueltos-ejercicios-Tema-22023-24.pdf
Relacion-resuelta-ejercicios-Tema-32023-24.pdf
Relacion-ejercicios-EM-Tema-12023-24.pdf

apuntes

-

TEMAS GPP

He publicado nuevos apuntes de 2º Gestión de Producto y Precio: TEMAS GPP

Tema-7-GPP.pdf
TEMA-6-GPP.pdf
Tema-3-GPP.pdf
Tema-1-GPP.pdf
Tema-4-GP.pdf
Tema-2-GPP-1.pdf

apuntes

-

1º parcial 4TEMAS

He publicado nuevos apuntes de 2º Distribución Comercial: 1º parcial 4TEMAS

Tema-3-DComercial.pdf
TEMA-2-DC-.pdf
Tema-4-Distribucion-Comercial.pdf
Tema-1Dist.Com.pdf

He publicado nuevos apuntes de 1º Fundamentos de Administración de Empresas: TEMA-10-FADE.pdf

4 páginas

He publicado nuevos apuntes de 1º Fundamentos de Administración de Empresas: TEMA-9-FADE.pdf

5 páginas

He publicado nuevos apuntes de 1º Fundamentos de Administración de Empresas: T.8-FADE.pdf

3 páginas

He publicado nuevos apuntes de 1º Fundamentos de Administración de Empresas: TEMA-6-FADE.pdf

5 páginas

He publicado nuevos apuntes de 1º Fundamentos de Administración de Empresas: T.7-FADE.pdf

4 páginas

He publicado nuevos apuntes de 1º Fundamentos de Administración de Empresas: Tema-5-FADE.pdf

4 páginas

He publicado nuevos apuntes de 1º Fundamentos de Administración de Empresas: TEMA-4-FORMAS-Y-CLASES-DE-EMPRESAS.pdf

3 páginas

He publicado nuevos apuntes de 1º Fundamentos de Administración de Empresas: Tema-2-y-3-Fade.pdf

7 páginas

He publicado nuevos apuntes de 1º Fundamentos de Administración de Empresas: tema-1-fade.pdf

2 páginas

He publicado nuevos apuntes de 2º Estadística II: EJERCICIOS-BLOQUE-2.pdf

23 páginas

He publicado nuevos apuntes de 1º Estadística I: resumen-Estadistica-2-BLOQUE-1.pdf

7 páginas

apuntes

-

exámenes estadística

He publicado nuevos apuntes de 2º Estadística II: exámenes estadística

ExamenesCVcon-soluciones.pdf
Examen-final-18-de-febrero-de-2022.pdf
Examen-final-ano-2022-bloque-uno.pdf
Examen-final-1-de-septiembre-de-2022.pdf

He publicado nuevos apuntes de 2º Estadística II: Ejercicios-bloque-1--complementarios.pdf

18 páginas

He publicado nuevos apuntes de 2º Administración de Organizaciones: ejer.-toma-de-decisiones-corregidos.pdf

8 páginas

He publicado nuevos apuntes de 1º Historia Económica: TEMA-2-H.ECONOMICA.pdf

8 páginas

He publicado nuevos apuntes de 1º Historia Económica: Tema-1-H.ECONOMICA.pdf

7 páginas

He publicado nuevos apuntes de 1º Historia Económica: TEMARIO-COMPLETO-h.e.pdf

48 páginas