97 Publicaciones
1.12k Interacciones
17 Seguidores
1 Siguiendo
Actividad
Asignaturas
@marcer_02
apuntes
-
TEMA-1-CUIDADOS-INFANCIA-Y-ADOLESCENCIA.pdf
TEMA 1: ASPECTOS GENERALES DE LA PEDIATRÍA
TEMA-17-FISIOPATO.pdf
TEMA 17. CÁNCER
TEMA-16-FISIO.pdf
TEMA 16: TRASTORNOS REUMATOLÓGICOS
TEMA-15B-FISIO.pdf
TEMA 15B: TRASTORNOS MOTORES
TEMA-15A-FISIOPATO.pdf
TEMA 15A: TRASTORNOS SENSITIVOS
TEMA-14D-FISIO.pdf
TEMA 14D. OTROS TRASTORNOS NEUROLÓGICOS
TEMA-14C-FISIO.pdf
TEMA 14C. DOLOR
TEMA-14B-FISIOPATO.pdf
TEMA 14B. ACV
TEMA-14A-FISIOPATO.pdf
TEMA 14A. TRASTORNOS DE LAS FUNCIONES SUPERIORES
TEMA-13-FISIOPATO.pdf
TEMA 13. TRASTORNOS METABÓLICOS
TEMA-12-FISIO.pdf
TEMA 12. TRASTORNOS ENDOCRINOS
TEMA-11-FISIOPATO.pdf
TEMA 11: PATOLOGÍA VASCULAR. PERITONEO
TEMA-10-FISIO.pdf
TEMA 10: TRASTORNOS HEPATO-PANCREÁTICOS
TEMA-9B-FISIOPATO.pdf
TEMA 9B: TRASTORNOS DEL TRACTO GI INFERIOR
TEMA-9A-FISIOPATO.pdf
TEMA 9A: TRASTORNOS DEL TRACTO GI SUPERIOR
TEMA-7-NUTRICION.pdf
TEMA 7: VALORACIÓN DEL ESTADO NUTRICIONAL
TEMA-3-FARMACOLOGIA.pdf
TEMA 3: SISTEMA NERVIOSO AUTÓNOMO
TIPOS-DE-ARRITMIAS-TEMA-3C-FISIOPATO.pdf
TABLA COMPLETA DE LOS TIPOS DE ARRITMIAS
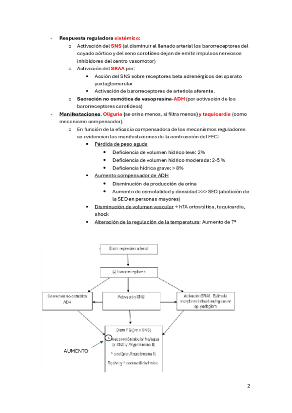
TEMA-8-FISIOPATO.pdf
TEMA 8: TRASTORNOS DEL EQUILIBRIO H/E Y A/B
TEMA-6-NUTRICION.pdf
TEMA 6: LOS GRUPOS DE ALIMENTOS