@Marcos_alberite

Estudios: Grado en Matemáticas (UAM) ...Mostrar más

5 Publicaciones

152 Interacciones

0 Seguidores

1 Siguiendo

Lista de publicaciones de Marcos_alberite

He publicado nuevos apuntes de 1º Conjuntos y Números: Hoja-3-Funciones-2023-24-UAM-Matematicas.pdf

2 páginas

He publicado nuevos ejercicios de 1º Conjuntos y Números: Hoja-2-Conjuntos-2023-24-UAM-Matematicas.pdf

2 páginas

He publicado nuevos ejercicios de 1º Conjuntos y Números: Hoja-1-Logica-elemental-2023-24-UAM-Matematicas.pdf

2 páginas

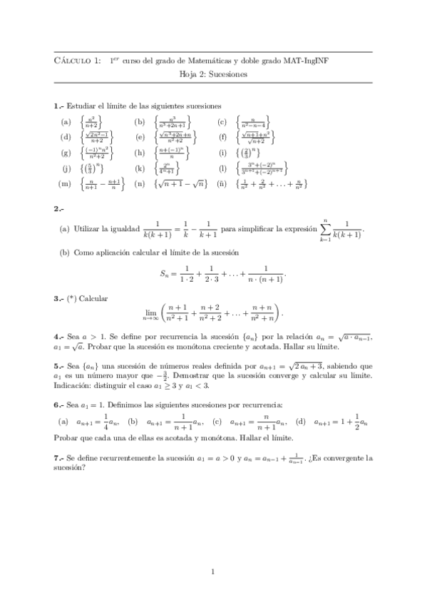
He publicado nuevos ejercicios de 1º Cálculo I: Hoja-2-Sucesiones-2023-24-UAM-Matematicas.pdf

2 páginas

He publicado nuevos ejercicios de 1º Álgebra Lineal: Hoja-1-probabilidad-2023-24-UAM-Matematicas.pdf

3 páginas