@mariags16

Estudios: Grado en Enfermería (UCAVILA) ...Mostrar más

60 Publicaciones

517 Interacciones

15 Seguidores

57 Siguiendo

Lista de publicaciones de mariags16

Apuntess nuevoss todo el curso!!!

Acabo de subir apuntes de la asignatura además de actividades y algún examen tipo test. Voy a ir subiendo de las demás asignaturas, pasaros.

He publicado nuevos apuntes de Biología molecular y citogenética: UNIDAD-12-APLICACION-DE-LAS-TECNICAS-DE-BIOLOGIA-MOLECULAR-EN-MEDICINA-FORENSE1.pdf

15 páginas

He publicado nuevos apuntes de Biología molecular y citogenética: UNIDAD-12-MEDIDAS-DE-PREVENCION-Y-PROTECCION.-EL-PLAN-DE-AUTOPROTECCION.pdf

17 páginas

He publicado nuevos apuntes de Biología molecular y citogenética: ANEXO-UNIDADES-11-y-12-BIOLOGIA-MOLECULAR-Y-CITOGENETICA1.pdf

20 páginas

He publicado nuevos apuntes de Biología molecular y citogenética: UNIDAD-11-METODOS-DE-SECUENCIACION-DE-ACIDOS-NUCLEICOS.pdf

18 páginas

He publicado nuevos apuntes de Biología molecular y citogenética: ANEXO-UNIDAD-10-BIOLOGIA-MOLECULAR-Y-CITOGENETICA.pdf

28 páginas

He publicado nuevos examenes de Biología molecular y citogenética: BMC-EXAMEN-TIPO-UD10.pdf

3 páginas

He publicado nuevos apuntes de Biología molecular y citogenética: UNIDAD-10-CLONACION-DE-ACIDOS-NUCLEICOS.pdf

16 páginas

He publicado nuevos apuntes de Biología molecular y citogenética: UNIDAD-9-TECNICAS-DE-PCR2.pdf

27 páginas

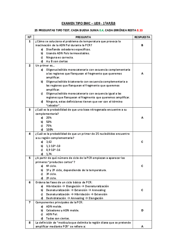
He publicado nuevos examenes de Biología molecular y citogenética: BMC-EXAMEN-TIPO-UD9.pdf

3 páginas

He publicado nuevos ejercicios de Biología molecular y citogenética: UNIDADES-7-Y-8-ACTIVIDADES-HIBRIDACION1.pdf

4 páginas

He publicado nuevos apuntes de Biología molecular y citogenética: ANEXO-UNIDADES-7-Y-8-HIBRIDACION1.pdf

24 páginas

He publicado nuevos apuntes de Biología molecular y citogenética: UNIDAD-8-TECNICAS-DE-HIBRIDACION.pdf

20 páginas

He publicado nuevos apuntes de Biología molecular y citogenética: UNIDAD-6-EXTRACCION-Y-PURIFICACION-DE-ACIDOS-NUCLEICOS1.pdf

15 páginas

He publicado nuevos apuntes de Biología molecular y citogenética: UNIDAD-7-HIBRIDACION-DE-ACIDOS-NUCLEICOS.pdf

26 páginas

He publicado nuevos ejercicios de Biología molecular y citogenética: FICHA-DE-ACTIVIDADES-EN-RELACION-UD5-BMC1.pdf

6 páginas

He publicado nuevos apuntes de Biología molecular y citogenética: UNIDAD-5-ACIDOS-NUCLEICOS-Y-ENZIMAS-ASOCIADAS1.pdf

20 páginas

He publicado nuevos apuntes de Biología molecular y citogenética: ANEXO-UNIDAD-4-CITOGENETICA-HUMANA-Y-ANALISIS-CROMOSOMICO.pdf

6 páginas

He publicado nuevos apuntes de Biología molecular y citogenética: UNIDAD-4-CITOGENETICA-HUMANA-Y-ANALISIS-CROMOSOMICO.pdf

13 páginas

He publicado nuevos ejercicios de Biología molecular y citogenética: UD-3-ACTIVIDAD-NOMENCLATURA-DE-CROMOSOMAS.pdf

1 página