@mariamei_

Estudios: Grado en Ingeniería Aeroespacial (US) ...Mostrar más

132 Publicaciones

5.66k Interacciones

5 Seguidores

0 Siguiendo

Lista de publicaciones de mariamei_

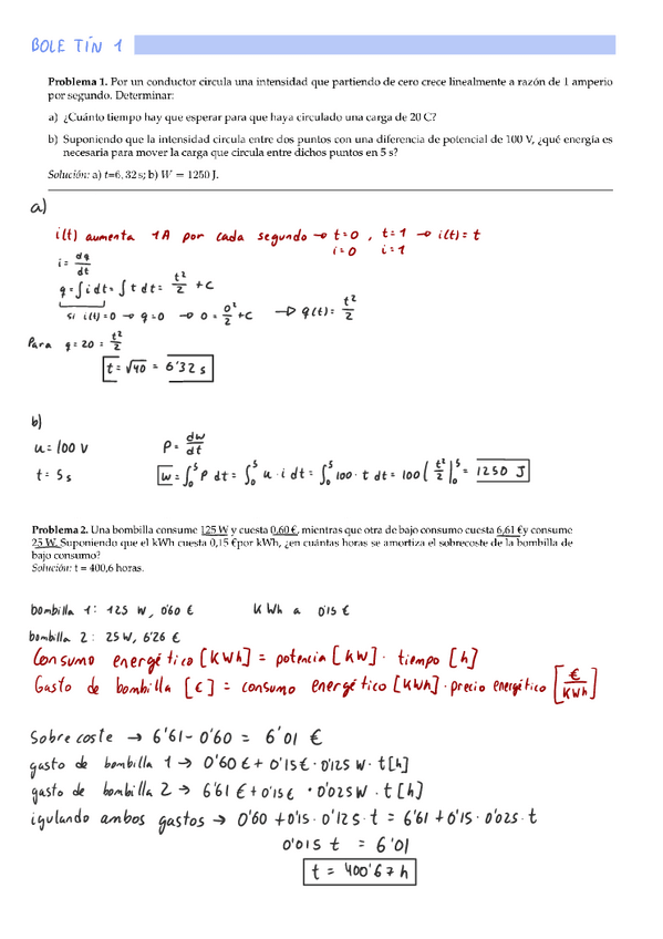
ejercicios

-

problemas de mecánica

He publicado nuevos ejercicios de 2º Ampliación de Física: problemas de mecánica

sistema-1.pdf
sistema-8.pdf
sistema-11.pdf
sistema-14.pdf
sistema-28.pdf
sistema-30.pdf

apuntes

-

temario

He publicado nuevos apuntes de 2º Ampliación de Física: temario

dinamica-impulsiva.pdf
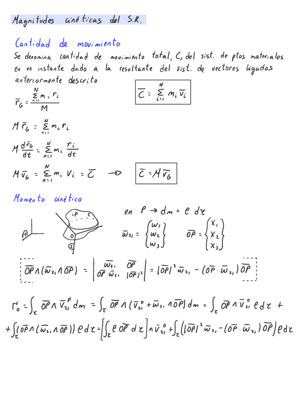
magnitudes-cineticas-del-S.R..pdf
mecanica-analitica.pdf

He publicado nuevos apuntes de 2º Ampliación de Física: formulario.pdf

10 páginas

apuntes

-

examenes resueltos

He publicado nuevos apuntes de 2º Control Automático: examenes resueltos

1ra-conv.pdf
2a-conv.pdf
3ra-conv.pdf

He publicado nuevos apuntes de 2º Control Automático: formulario.pdf

2 páginas

He publicado nuevos examenes de 2º Electrotecnia: falso-final-2024.pdf

6 páginas

examenes

-

examenes resueltos

He publicado nuevos examenes de 2º Electrotecnia: examenes resueltos

diciembre-2019.pdf
junio-2016.pdf
junio-2017.pdf
junio-2019.pdf
septiembre-2015.pdf
septiembre-2019.pdf

ejercicios

-

Boletines resueltos

He publicado nuevos ejercicios de 2º Electrotecnia: Boletines resueltos

Boletin-1.pdf
Boletin-2.pdf
Boletin-3.pdf
Boletin-4.pdf
Boletin-5.pdf
Boletin-6.pdf

apuntes

-

temario completo

He publicado nuevos apuntes de 2º Electrotecnia: temario completo

Tema-1.pdf
Tema-2.pdf
Tema-3.pdf
Tema-4.pdf
Tema-5.pdf
Tema-8.pdf