@mariapuentes

88 Publicaciones

6.28k Interacciones

29 Seguidores

1 Siguiendo

Lista de publicaciones de mariapuentes

ejercicios

-

BOLETINES RESUELTOS

He publicado nuevos ejercicios de 1º Física II: BOLETINES RESUELTOS

BOLETIN-CONDUCTORES-Y-DIELECTRICOS-230312203831.pdf

He publicado nuevos apuntes de 3º Electrónica y Automatización del Producto: Boletin tema 3 - Electronica Digital.pdf

13 páginas

He publicado nuevos apuntes de 3º Electrónica y Automatización del Producto: Boletin tema 2 - Electronica analogica.pdf

11 páginas

He publicado nuevos ejercicios de 1º Física I: BOLETINES-1-PARCIAL.pdf

40 páginas

He publicado nuevos ejercicios de 2º Matemáticas III: BOLETIN RESUELTO TEMA 4.pdf

16 páginas

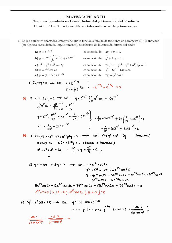
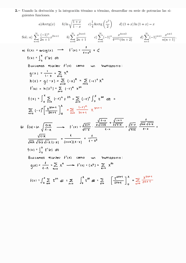
He publicado nuevos ejercicios de 2º Matemáticas III: BOLETIN RESUELTO TEMA 2.pdf

28 páginas

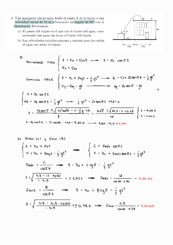
He publicado nuevos ejercicios de 2º Matemáticas III: BOLETIN RESUELTO TEMA 1.pdf

27 páginas

He publicado nuevos ejercicios de 2º Matemáticas III: BOLETIN RESUELTO TEMA 5.pdf

13 páginas

He publicado nuevos ejercicios de 2º Matemáticas III: BOLETIN RESUELTO TEMA 3.pdf

10 páginas

apuntes

-

RESUMENES Y APUNTES IMAGENES (1 PARCIAL)

He publicado nuevos apuntes de 2º Estética del Diseño Industrial II: RESUMENES Y APUNTES IMAGENES (1 PARCIAL)

Sesion-12-Las-alternativas-al-mundo-victoriano-Las-Arts-and-Crafts-y-los-criticos-del-ornamento.pdf
Sesion-11-La-consolidacion-de-la-Revolucion-Industrial-en-el-siglo-XIX-4-Ejemplos.pdf
Sesion-10-La-consolidacion-de-la-Revolucion-Industrial-en-el-siglo-XIX-3.pdf
Sesion-9-La-consolidacion-de-la-Revolucion-Industrial-en-el-siglo-XIX-2-El-impacto-geografico-del-vapor.pdf
Sesion-8-La-consolidacion-de-la-Revolucion-Industrial-en-el-siglo-XIX-1-El-contexto-urbano.pdf
Sesion-7-En-los-inicios-de-la-Revolucion-Industrial-IV-Ejemplos-2.pdf

He publicado nuevos apuntes de 2º Ingeniería energética, Transmisión de Calor y Fluidos: FORMULARIO TEMA 1.pdf

2 páginas

He publicado nuevos apuntes de 2º Ingeniería energética, Transmisión de Calor y Fluidos: FORMULARIO TEMA 2.pdf

2 páginas

He publicado nuevos apuntes de 2º Ingeniería energética, Transmisión de Calor y Fluidos: FORMULARIO TEMA 3.pdf

3 páginas

He publicado nuevos ejercicios de 3º Tecnología Eléctrica Aplicada al Producto: BOLETIN RESUELTO TEMA 2.pdf

15 páginas

He publicado nuevos ejercicios de 3º Tecnología Eléctrica Aplicada al Producto: BOLETIN RESUELTO TEMA 1.pdf

18 páginas

ejercicios

-

TODOS LOS BOLETINES RESUELTOS

He publicado nuevos ejercicios de 1º Física I: TODOS LOS BOLETINES RESUELTOS

BOLETIN-TERMODINAMICA.pdf
BOLETIN-CINEMATICA.pdf
BOLETIN-SOLIDO-RIGIDO.pdf
BOLETIN-DINAMICA.pdf
BOLETIN-DINAMICA-2.pdf

practicas

-

TODAS LAS PRÁCTICAS (BUENA NOTA)

He publicado nuevos practicas de 2º Expresión Artística II: TODAS LAS PRÁCTICAS (BUENA NOTA)

PRACTICA-3-DISENO.pdf
PRACTICA-2-ANALISIS.pdf
PRACTICA-2-PRODUCTO.pdf
PRACTICA-1-ANALISIS.pdf
PRACTICA-1-PORTADA.pdf

ejercicios

-

PREGUNTAS A ORDENADOR

He publicado nuevos ejercicios de 2º Empresa: PREGUNTAS A ORDENADOR

TEMA-1.pdf
TEMA-2.pdf
TEMA-3.pdf
TEMA-4.pdf