@mariariv

Bio: Estudiante de 6º medicina en la universidad de Navarra. Escribeme si necesitas cualquier cosa o tienes alguna duda !!

77 Publicaciones

1.74k Interacciones

15 Seguidores

1 Siguiendo

Lista de publicaciones de mariariv

Pedia entero los dos trimestres

385 páginas

MQ VII entero

522 páginas

MQ VI entero

379 páginas

apuntes

-

Mis tablas

Hice estas dos tablas para ayudarme en el estudio. Son tablas que me sirvieron a mí y están hechas para mí, si falta alguna información o algo está mal lo siento!!

ATAXIAS-y-PARAPARESIAS.-tabla.pdf
psicofarmacos.pdf

apuntes

-

MQ V separado en 2pdf

He publicado nuevos apuntes de 5º Médico Quirúrgica V: MQ V separado en 2pdf

MQ-V-1-179.pdf
MQ-V-180-346.pdf

MQ V documento entero comprimido por si no deja descargar el normal

346 páginas

He publicado nuevos apuntes de 5º Médico Quirúrgica V: MQ-V.pdf

346 páginas

apuntes

-

MQ III

Apuntes de MQ III en 3 documentos para que se puedan descargar :)

MQ-III-completo-1-174.pdf
MQ-III-completo-175-342.pdf
MQ-III-completo-343-503.pdf

He publicado nuevos apuntes de 4º Médico Quirúrgica III: MQ-III-completo (1 docu).pdf

503 páginas

He publicado nuevos apuntes de 4º Médico Quirúrgica Ii: MQ-II-completo-parte-2-pag.210-418.pdf

209 páginas

He publicado nuevos apuntes de 4º Médico Quirúrgica Ii: MQ-II-completo-parte-1-pag.1-209.pdf

209 páginas

He publicado nuevos apuntes de 4º Médico Quirúrgica IV: MQ-IV-completo-parte-1-pag.-1-171.pdf

171 páginas

He publicado nuevos apuntes de 4º Médico Quirúrgica IV: MQ-IV-completo-parte-2-pag.-171-343.pdf

173 páginas

He publicado nuevos apuntes de 4º Médico Quirúrgica IV: MQ-IV-Maria-Rivera.pdf

343 páginas

He publicado nuevos apuntes de 4º Médico Quirúrgica I: MQ-I-completo-parte-2-Maria-Rivera.pdf

159 páginas

He publicado nuevos apuntes de 4º Médico Quirúrgica I: MQ-I-completo-parte-1-Maria-Rivera.pdf

200 páginas

He publicado nuevos apuntes de 4º Médico Quirúrgica I: Seminario-ECG.pdf

40 páginas

He publicado nuevos apuntes de 1º Sistemas y órganos integrados I: Musculos-resumen.pdf

31 páginas

examenes

-

Exámenes años anteriores EPIDEMIOLOGÍA

He publicado nuevos examenes de 2º Metodología de la Investigación: Exámenes años anteriores EPIDEMIOLOGÍA

Copia-de-partial-2018-2019-answers.pdf
Copia-de-partial-2018-2019-no-answers.pdf
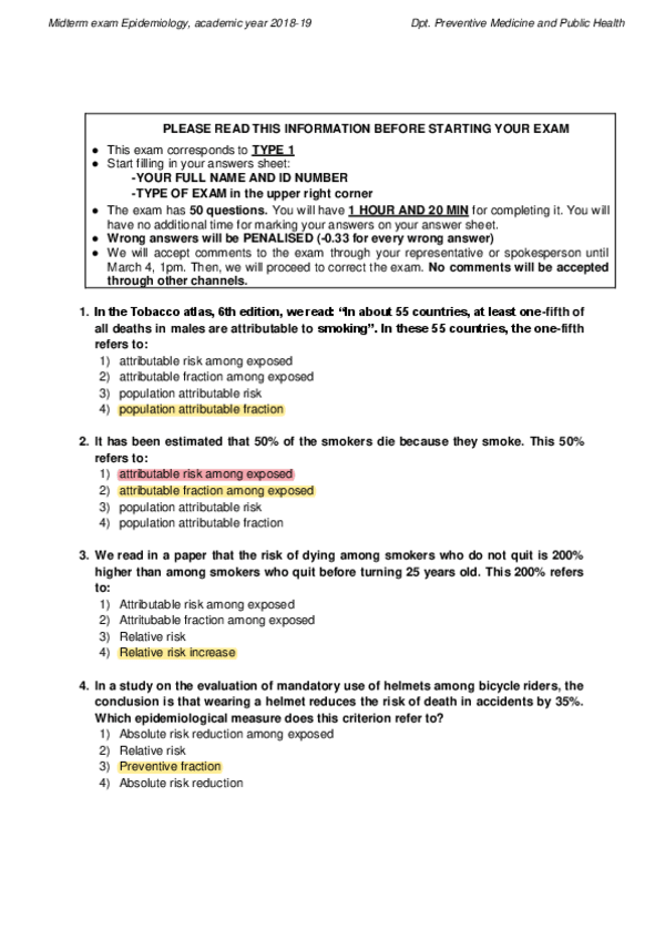
Copia-de-MIDTERM-2018-19.pdf
Copia-de-Parcialtipo-1ENG-CON.pdf
Copia-de-partial-2016-2017-no-answers.pdf
Copia-de-1er-Parcial-2020-2021.pdf

examenes

-

Exámenes años anteriores BIOESTADÍSTICA

He publicado nuevos examenes de 2º Metodología de la Investigación: Exámenes años anteriores BIOESTADÍSTICA

Copia-de-Partial18-19Castellanocon-tipo4.pdf
Copia-de-Parcial-simulacro-17-18-sins.pdf
Copia-de-Parcial-17-18-sins-CREO.pdf
Copia-de-Parcial-17-18-cons-CREO.pdf
Copia-de-Parcial-17-18-cons-CREO.pdf
Copia-de-Parcial-16-17-cons.pdf