@mariiaaca

9 Publicaciones

155 Interacciones

0 Seguidores

0 Siguiendo

Lista de publicaciones de mariiaaca

He publicado nuevos apuntes de 2º Macroeconomía I: MACRO-1er-parcial.pdf

14 páginas

He publicado nuevos ejercicios de 1º Métodos Matemáticos para la Economía II: Ejercicios-tema-7.pdf

3 páginas

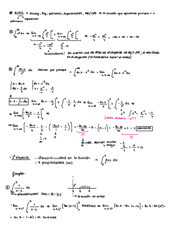
Proceso y solución

20 páginas

He publicado nuevos apuntes de 1º Historia del mundo contemporáneo y sus movimientos sociales: Leccion-5-6.pdf

12 páginas

He publicado nuevos apuntes de 1º Historia del mundo contemporáneo y sus movimientos sociales: Leccion-3-4.pdf

15 páginas

He publicado nuevos apuntes de 1º Historia del mundo contemporáneo y sus movimientos sociales: Leccion-1-2.pdf

17 páginas

He publicado nuevos apuntes de 1º Métodos Matemáticos para la Economía II: Temas-3-7.pdf

1 página

He publicado nuevos apuntes de 1º Métodos Matemáticos para la Economía II: Tema-1-2.pdf

13 páginas

He publicado nuevos ejercicios de 1º Métodos Matemáticos para la Economía I: Álgebra lineal (temas 1-4).pdf

22 páginas