@marinaespinar

23 Publicaciones

331 Interacciones

1 Seguidores

1 Siguiendo

Lista de publicaciones de marinaespinar

apuntes

-

INGENIERÍA DE MATERIALES

He publicado nuevos apuntes de 2º Ingeniería de Materiales: INGENIERÍA DE MATERIALES

tema-1.pdf
tema-2.pdf
tema-3.pdf
tema-4.pdf

apuntes

-

EXPRESIÓN ARTÍSTICA I

He publicado nuevos apuntes de 1º Expresión Artística I: EXPRESIÓN ARTÍSTICA I

artistica-teoria.pdf

apuntes

-

QUÍMICA

He publicado nuevos apuntes de 1º Química General: QUÍMICA

TEMA-1.pdf
Tema-3.pdf
Tema-4.pdf
Tema-5.pdf

apuntes

-

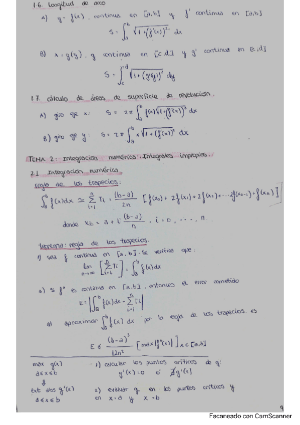
MATEMÁTICAS II

He publicado nuevos apuntes de 1º Matemáticas II: MATEMÁTICAS II

tema1.pdf
tema2.pdf

apuntes

-

FISICA II

He publicado nuevos apuntes de 1º Física II: FISICA II

formulario-tema-1.pdf
formulario-tema-2.pdf