@Marinamedicina

39 Publicaciones

2.79k Interacciones

5 Seguidores

3 Siguiendo

Lista de publicaciones de Marinamedicina

He publicado nuevos apuntes de 1º Histología General : MONOCITOS.pdf

3 páginas

He publicado nuevos apuntes de 1º Histología General : TEJIDO-NERVIOSO.pdf

7 páginas

He publicado nuevos apuntes de 1º Bioestadística: Documento-sin-titulo.pdf

1 página

He publicado nuevos apuntes de 1º Bioestadística: P13-CONTRASTE-DE-HIPOTESIS-NO-PARAMETRICO.pdf

3 páginas

ejercicios

-

Ejercicios optativos biomol I

He publicado nuevos ejercicios de 2º Biología Molecular: Ejercicios optativos biomol I

Ejercicios-optativos-biomol-Marina-de-Miguel-I.pdf
Ejercicios-optativos-biomol-Marina-de-Miguel-II.pdf

He publicado nuevos practicas de 2º Biología Molecular: Practicas-Biologia-Molecular-Marina-de-Miguel.pdf

9 páginas

apuntes

-

Prácticas de física

He publicado nuevos apuntes de 1º Física Médica: Prácticas de física

P3-Viscosidad-Marina-de-Miguel-503A.pdf
P5Radiacionesionizantescuadernillomedicina2021-copy.pdf
P2-Osciloscopio-Marina-de-Miguel-503A.pdf
P4-Optica-Marina-de-Miguel-503A.pdf

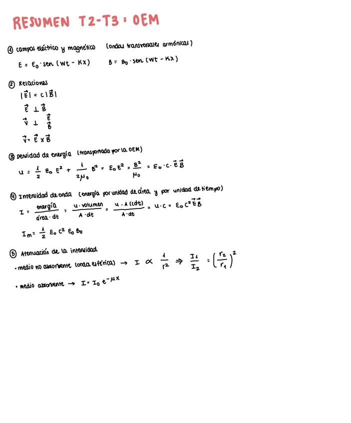
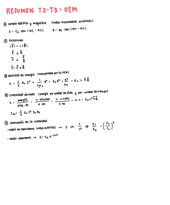
He publicado nuevos apuntes de 1º Física Médica: Resumen-T1-T2-y-T3.pdf

3 páginas

He publicado nuevos practicas de 1º Bioquímica Metabólica: P-BioqMet-503.pdf

11 páginas

practicas

-

Cuadernillo bioq metabólica I

He publicado nuevos practicas de 1º Bioquímica Metabólica: Cuadernillo bioq metabólica I

PBioqonline-MarinadeMiguel.pdf

He publicado nuevos apuntes de 1º Histología General: Practicas-Histologia-Copy.pdf

17 páginas

He publicado nuevos practicas de 1º Bioquímica General: Practicas-bioquimica-Marina-de-Miguel-503-A.pdf

15 páginas

He publicado nuevos apuntes de 1º Biología Celular: Prcticas-Biologa-Marina-de-Miguel-503A.pdf

17 páginas

He publicado nuevos apuntes de 1º Anatomía I: T11-12-13-Tabla-musculatura-del-dorso.pdf

5 páginas

He publicado nuevos apuntes de 1º Anatomía I: T14-Tabla-musculatura-del-cuello.pdf

3 páginas

apuntes

-

Resumen embrio

He publicado nuevos apuntes de 1º Anatomía I: Resumen embrio

Resumen-gametogenesis-II.pdf
Resumen-gametogenesis-.pdf
Resumen-T2-y-T3-embriologia-.pdf

apuntes

-

Embriología

He publicado nuevos apuntes de 1º Anatomía I: Embriología

2-1o-semana-desarrollo-embrionario.pdf
1-Gametogenesis.pdf
3-2o-semana-de-desarrollo-embrionario.pdf

He publicado nuevos apuntes de 1º Biología Celular: T21-APOPTOSIS-1.pdf

4 páginas

He publicado nuevos apuntes de 1º Biología Celular: T20-MITOSIS.pdf

2 páginas

He publicado nuevos apuntes de 1º Biología Celular: T19-CICLO-CELULAR.pdf

4 páginas