@marinaqtdn

324 Publicaciones

9.35k Interacciones

7 Seguidores

0 Siguiendo

Lista de publicaciones de marinaqtdn

He publicado nuevos apuntes de Matemáticas aplicadas a las Ciencias Sociales II: 2nBACHS-Solucions-Tema7.pdf

24 páginas

examenes

-

Ejercicios y exámenes con solución

He publicado nuevos examenes de Matemáticas aplicadas a las Ciencias Sociales II: Ejercicios y exámenes con solución

Examen_Matrius-Determants-Sistemes_Curs2014-15.pdf
Exercicis_i_problemes_de_P_L_amb_solucions.pdf
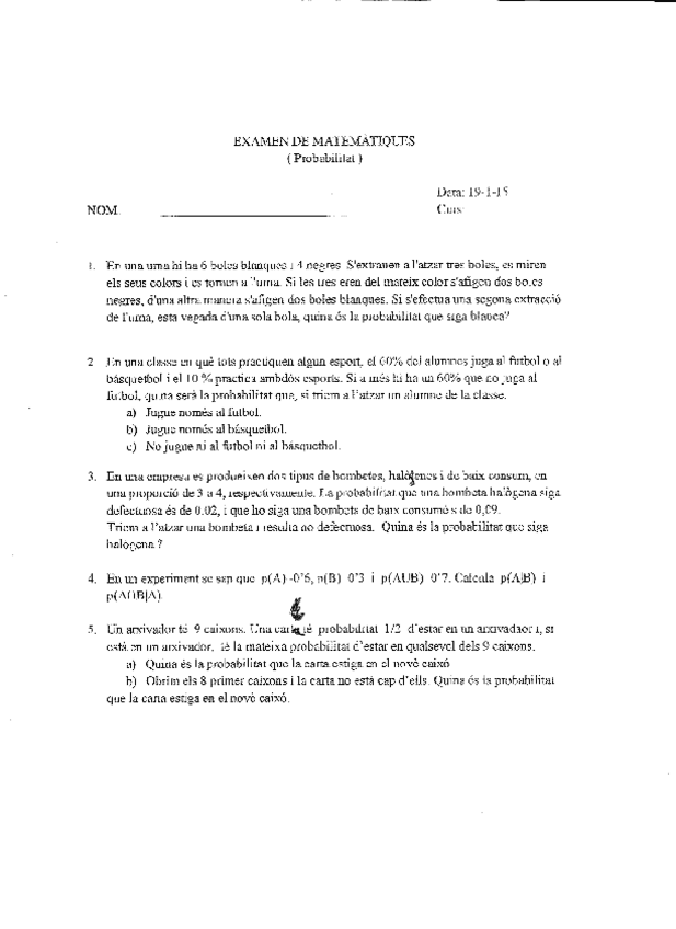
Examen_Probabilitat_-_Curs_2014-15.pdf
Solucions_als_fulls_de_Problemes_de_Probabilitat.pdf

He publicado nuevos apuntes de Historia de España: Eje Cronológico LA RESTAURACIÓN.pdf

1 página

He publicado nuevos apuntes de Historia de España: T7. LA RESTAURACIÓNhasta1902.pdf

10 páginas

apuntes

-

Apuntes historia selectividad

He publicado nuevos apuntes de Historia de España: Apuntes historia selectividad

3164.pdf
TEMA-5.-LA-CONSTRUCCION-DEL-ESTADO-LIBERAL--18331868--1.pdf
TEMA-4.-LA-CRISIS-DEL-ANTIGUO-REGIMEN--17881833-.pdf

apuntes

-

Temas selectividad historia

Apuntes de todos los temas de historia de españa para la selectividad

17-18_BL5.1_LA RESTAURACIÓN.pdf
17-18_BL6.1_II REPÚBLICA.pdf
17-18_BL7_La dictadura franquista.pdf
17-18_BL3_EL ANTIGUO RÉGIMEN Y SU CRISIS.pdf
17-18_BL6_2_LA GUERRA CIVIL.pdf
17-18_BL8_Transición (Conflicto de codificación Unicode).pdf

He publicado nuevos apuntes de Historia de España: MAPAS DE LA GUERRA CIVIL.pdf

2 páginas

ejercicios

-

Comentarios de texto

bloque 3: el antiguo regimen y su crisis

Decreto Nueva Planta- 1707.pdf
Texto 02.pdf

Bloque 3 del temario de selectividad

http://www.rtve.es/alacarta/videos/memoria-de-espana/memoria-espana-vivan-caenas/3288172/

Gobiernos y sucesos importantes

1 página

He publicado nuevos apuntes de Historia de España: CRONOLOGÍA DE LA GUERRA CIVIL.pdf

1 página

powerpoint del franquismo

9 páginas