@mario_sanchezc

Bio: Grado en Física en la Universidad de Sevilla

28 Publicaciones

1.07k Interacciones

5 Seguidores

0 Siguiendo

Lista de publicaciones de mario_sanchezc

He publicado nuevos examenes de 4º Física Atómica y Molecular: Control-Atomica-2017-resuelto.pdf

11 páginas

He publicado nuevos examenes de 4º Física Atómica y Molecular: Examen-2021-resuelto.pdf

6 páginas

prueba intermedia de temas 1 y 2 de Mecánica Cuántica. Curso 25/26. Grupo: 2 Profesora: Maribel

2 páginas

He publicado nuevos examenes de 3º Física Estadística: Prefinal-24-25-resuelto.pdf

11 páginas

Prueba de abril 2025 resuelta

8 páginas

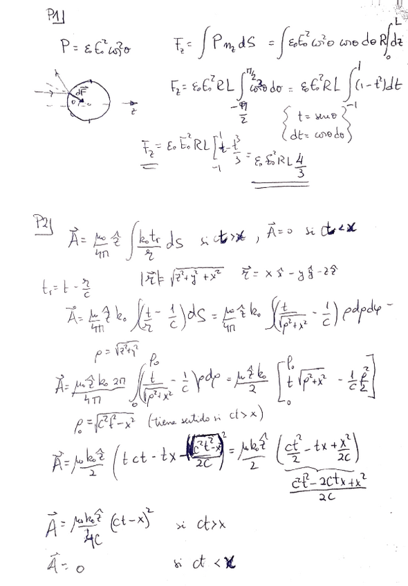
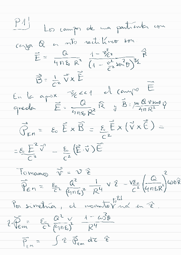
He publicado nuevos examenes de 3º Electrodinámica Clásica: Convocatoria-enero-2025--Soluciones.pdf

8 páginas

examenes

-

TESTS CORREGIDOS 2024

He publicado nuevos examenes de 3º Electrodinámica Clásica: TESTS CORREGIDOS 2024

soluciones-test-1.pdf
soluciones-test-2.pdf
soluciones-test-3.pdf
soluciones-test-4.pdf

He publicado nuevos examenes de 3º Óptica: Segundo-parcial-2323-resuelto.pdf

10 páginas

He publicado nuevos ejercicios de 3º Óptica: ProblemasPrimerParcialResueltos-2324.pdf

13 páginas

He publicado nuevos apuntes de 3º Física Matemática: Formulario-para-examen.pdf

1 página

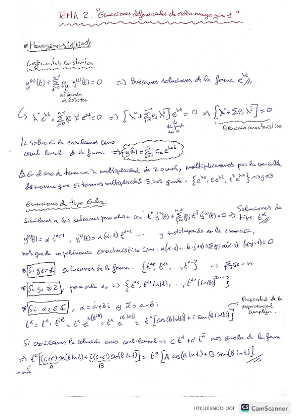
He publicado nuevos apuntes de 3º Mecánica Teorica: Apuntes-top-oscilaciones.pdf

2 páginas

He publicado nuevos apuntes de 3º Mecánica Teorica: Resumen-completo Primer parcial.pdf

4 páginas

He publicado nuevos apuntes de 2º Termodinámica: Memoria-10.-Nota-8.pdf

11 páginas

practicas

-

Memoria 10 + Correcciones NOTA: 9

He publicado nuevos practicas de 2º Mecánica y Ondas: Memoria 10 + Correcciones NOTA: 9

Memoria10Mecanica.pdf
correcciones-memoria-10.pdf

practicas

-

Memoria 7 + Correcciones NOTA: 7,7

He publicado nuevos practicas de 2º Mecánica y Ondas: Memoria 7 + Correcciones NOTA: 7,7

Memoria7.pdf
Correcciones-memoria-7.pdf

He publicado nuevos examenes de 1º Programación Científica: EJERCICIOS-DE-EXAMEN.pdf

8 páginas

apuntes

-

Resumen/Guía completo de temas 1-4

He publicado nuevos apuntes de 2º Métodos Matemáticos II: Resumen/Guía completo de temas 1-4

Tema-1.pdf
Tema-2.pdf
Tema-3.pdf
Tema-4.pdf

He publicado nuevos apuntes de 2º Termodinámica: Apuntes-de-termo-Primer-Cuatri.pdf

27 páginas

He publicado nuevos apuntes de 2º Termodinámica: Formulario-de-termo-Primer-cuatrimestre.pdf

2 páginas

He publicado nuevos apuntes de 1º Álgebra Lineal y Geometría: Chuleta-para-examen-tensores.pdf

1 página