@Marta292

27 Publicaciones

938 Interacciones

0 Seguidores

2 Siguiendo

Lista de publicaciones de Marta292

He publicado nuevos examenes de 2º Derecho Administrativo I: EXAMEN FINAL CONVOCATORIA FEBRERO 2019.pdf

1 página

He publicado nuevos examenes de 2º Derecho Administrativo I: EXAMEN ENERO 2019.pdf

1 página

He publicado nuevos examenes de 2º Derecho Constitucional III: EXAMEN FINAL CONSTITUCIONAL III feb 2019.pdf

1 página

He publicado nuevos examenes de 2º Derecho Penal I: EXAMEN PENAL I.pdf

1 página

He publicado nuevos examenes de 2º Derecho Administrativo I: Convocatoria septiembre 2018 Adm 1.docx

word

He publicado nuevos apuntes de 2º Derecho Internacional Público Ii: TEMAS 1 AL 5 DIP II.docx

word

apuntes

-

TEMA 1

He publicado nuevos apuntes de 2º Derecho Mercantil I: TEMA 1

derecho mercantil apuntes.pdf
TEMA 4.pdf
TEMA V.pdf
TEMA 6.pdf

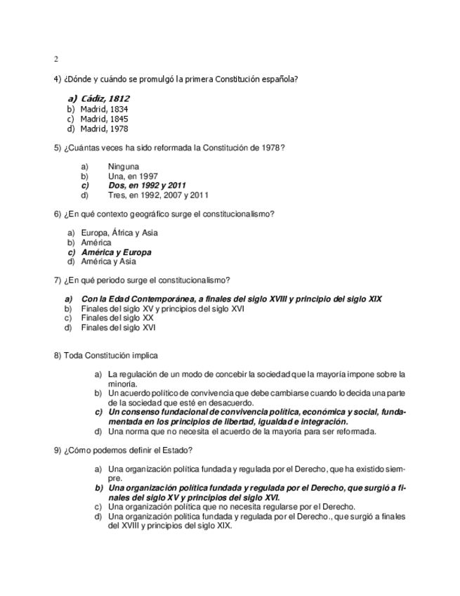
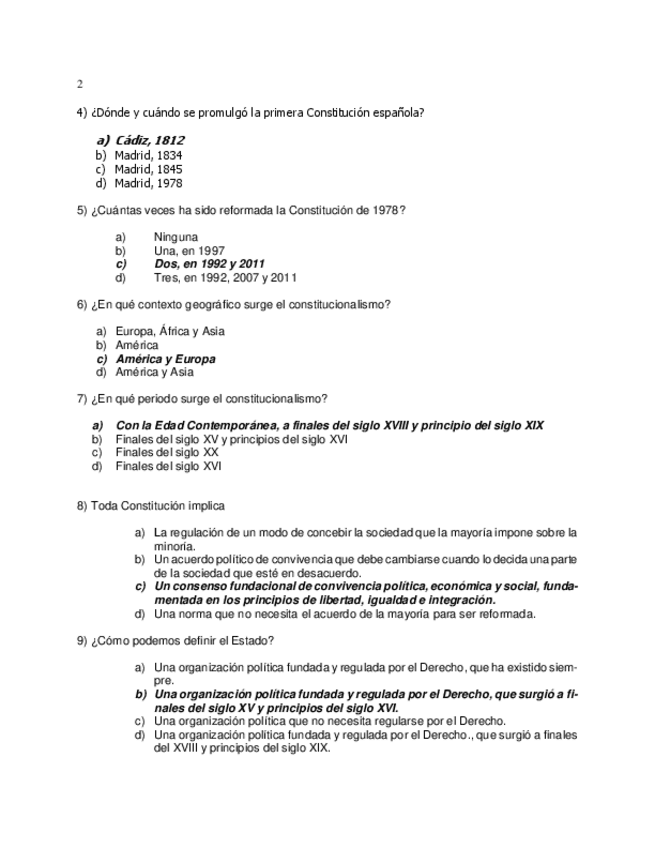
He publicado nuevos apuntes de 1º Derecho Constitucional II: DC2-AUTOCUESTIONARIO-TEST-7-resuelto.pdf

5 páginas

He publicado nuevos apuntes de 1º Derecho Constitucional II: Derecho-CUESTIONARIO-5-2016g.pdf

6 páginas

He publicado nuevos apuntes de 1º Derecho Constitucional II: DERECHO- AUTOCUESTIONARIO-2.pdf

6 páginas

He publicado nuevos apuntes de 1º Derecho Constitucional II: cuestionario 4 respuestas.pdf

3 páginas

He publicado nuevos apuntes de 1º Derecho Constitucional II: -DERECHO-AUTOCUESTIONARIO TEMA 3 RESPUESTAS.doc.pdf

5 páginas

He publicado nuevos apuntes de 1º Derecho Constitucional I: Resumen Temas 9-13 Constitucional (1) (5).pdf

20 páginas

He publicado nuevos apuntes de 1º Derecho Constitucional II: DC2-AUTOCUESTIONARIO-6-AP-PJ.pdf

10 páginas

He publicado nuevos apuntes de 1º Derecho Constitucional II: AUTOCUESTIONARIO-1-DCII- (1) RESPUESTAS.pdf

9 páginas

He publicado nuevos examenes de 1º Introducción Al Derecho Penal: Examen Introducción al derecho penal Convocatoria Febrero.docx

word

He publicado nuevos examenes de 1º Derecho Constitucional I: Preguntas Constitucional 1 convocatoria febrero.docx

word

He publicado nuevos examenes de 1º Derecho Procesal I: Convocatoria Febrero Procesal.docx

word

He publicado nuevos examenes de 1º Economía: Preguntas Examen Economía Febrero 2018.docx

word

He publicado nuevos apuntes de 1º Derecho Constitucional I: resumen-del-manual-de-jose-luis-garcia-ruiz (1).docx

word