@martaborreroc

24 Publicaciones

814 Interacciones

2 Seguidores

4 Siguiendo

Lista de publicaciones de martaborreroc

He publicado nuevos apuntes de 2º Flora y Vegetación: Todo-lo-necesario-parcial-1-T1-5.pdf

6 páginas

He publicado nuevos apuntes de 2º Flora y Vegetación: TRABAJO-EXPOSICION-FLORA.pdf

8 páginas

He publicado nuevos apuntes de 2º Flora y Vegetación: TEMA-2-EVOLUCION.pdf

1 página

He publicado nuevos apuntes de 2º Flora y Vegetación: TEMA-1-NOMENCLATURA-Y-CLASIFICACION.pdf

1 página

He publicado nuevos practicas de 2º Química Analítica Ambiental: EPD1-Quimica-analitica.pdf

5 páginas

He publicado nuevos practicas de 2º Sistemas de Información: Act1y2Protcl2.pdf

17 páginas

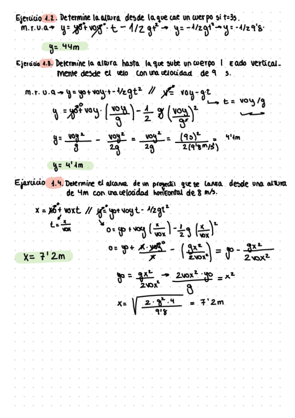
He publicado nuevos apuntes de 1º Física: Ejercicio-teoria-parcial.pdf

2 páginas

He publicado nuevos apuntes de 2º Estadística: Ejs-clase-por-temas.pdf

24 páginas

He publicado nuevos apuntes de 2º Estadística: Todo-spss.pdf

3 páginas

He publicado nuevos apuntes de 2º Estadística: Todo-teoriaejemplos.pdf

20 páginas

He publicado nuevos apuntes de 2º Fauna: Fauna-glosario-por-temas-BLOQUE1-con-preguntas.pdf

12 páginas

He publicado nuevos apuntes de 2º Microbiología: PRESENTACION-AD-97.pdf

12 páginas

He publicado nuevos apuntes de 2º Microbiología: Resumen-con-lo-necesariopreguntas.pdf

36 páginas

He publicado nuevos apuntes de 2º Meteorología y Climatología: Todo-diagrama-oblicuo-sondeos.pdf

3 páginas

He publicado nuevos apuntes de 2º Meteorología y Climatología: Preguntas-examenes-resueltastipo-de-preguntas-profesor.pdf

6 páginas

He publicado nuevos apuntes de 2º Meteorología y Climatología: TODO-METEO-PARA-EL-EXAMEN.pdf

19 páginas

He publicado nuevos apuntes de 1º Física: tema-1-formulas-y-todos-los-ejs.pdf

6 páginas

He publicado nuevos examenes de 1º Derecho Penal: PRIMER-PARCIAL-NOTA-93.pdf

2 páginas

He publicado nuevos apuntes de 1º Química: TEMA-4-CARGA-NUCLEAR.pdf

2 páginas

He publicado nuevos apuntes de 1º Química General y Orgánica: FORMULARIO-COMPLETO-APROBADO.pdf

6 páginas